网站首页  词典首页


请输入您要查询的字词:

 

字词 磷钼酸铵容量法
类别 中英文字词句释义及详细解析
释义

磷钼酸铵容量法


(一)适用范围 同磷钼酸铵重量法。本法与重量法比较,优点在于不需用乙醇和乙醚或丙酮来洗沉淀,并可用普通的细密无灰滤纸过滤。准确度可能略低于重量法,但仍为一简易而准确的磷肥测定方法。

(二)试剂配制

1.1%硫酸钠溶液 取硫酸钠(Na2SO4·10H2O)5g溶于500ml经煮沸除去二氧化碳的蒸馏水中,溶液应准确呈中性反应。

2.40%甲醛溶液 1500份甲醛中加1份酚酞(重量比)。此溶液遇0.1N氢氧化钠则呈微红色。

3.0.1N氢氧化钠标准液。

4.0.1N盐酸标准液。

5.其它试剂同磷钼酸铵重量法。

(三)测定步骤 按磷钼酸铵重量法测定步骤进行至得黄色沉淀后,用细密无灰滤纸先过滤上层清液,用1%硫酸钠为洗涤液,用倾泻法洗沉淀4—5次以后才把沉淀移至滤纸上,继续用1%硫酸钠溶液洗涤沉淀,洗至滤液呈中性反应止(可用石蕊试剂纸检验)。所消耗的洗涤液以不超过200ml为度。如用量过多将引起沉淀溶解而损失。

将沉淀连同滤纸移至原烧杯(烧杯在随洗涤沉淀同时也应洗涤至中性)中,从滴定管中放入20-50ml0.1N氢氧化钠标准液,搅动,必须使沉淀完全溶解(黄色消褪)。如经搅动仍未溶解完时,可继加入0.1N氢氧化钠标准液。记录所用碱标准液总量。静置3-5min,然后按每50ml0.1N氢氧化钠溶液加入2.5ml甲醛用量的比例,加入甲醛溶液,搅动。加酚酞指示剂3滴,用0.1N盐酸标准液回滴剩余碱至酚酞变色为终点。

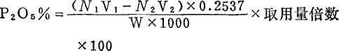
(四)结果计算

式中:N1V1——0.1N氢氧化钠标准液的当量浓度及毫升数;

N2V2——0.1N盐酸标准液的当量浓度及毫升数;

1000——将样重(g)换算成毫克;

0.2537——每毫升0.1N氢氧化钠所相当P2O5的毫克数。但随沉淀条件不同,黄色沉淀的组成不同,此换算因数是不同的,不同组成的沉淀其与碱的化学反应可用下面反应式表示之。

(1)式表示1克原子磷需要28克分子NaOH;(2)式表示1克原子磷仅需23克分子NaOH,因此1ml0.1NNaOH相当于0.2537mgP2O5(以28克分子NaOH计算),或0.3088mgP2O5(以23克分子计算)。所以采取何种换算因数应随测定方法而定。

随便看

 

离鸟网收录3541549条中英文词条,其功能与新华字典、现代汉语词典、牛津高阶英汉词典等各类中英文词典类似,基本涵盖了全部常用中英文字词句的读音、释义及用法,是语言学习和写作的有利工具。

 

Copyright © 2004-2024 vtrois.com All Rights Reserved
更新时间:2026/4/7 1:29:09