网站首页  词典首页


请输入您要查询的字词:

 

字词 稳压电路
类别 中英文字词句释义及详细解析
释义

稳压电路


所谓稳压电路,就是当电网电压波动或负载发生变化时,能使输出电压稳定的电路。稳压电路有并联型稳压电路和串联型稳压电路等形式。

1.稳压二极管稳压电路

图3-61为稳压二极管稳压电路。该电路是并联型稳压电路,它由稳压管和负载并联组成,直接利用稳压管工作电流的变化,并通过限流电阻的调压作用,达到稳压的目的。

图3-61 稳压二极管组成的稳压电路

并联型稳压电路中,负载两端的电压受稳压管稳定电压的限制。

稳压二极管稳压电路的有关计算为:

(1)稳压电路输入电压的选择

U1=(2~3)UL (3-246)

式中 U1——稳压电路输入电压(V);

UL——输出电压(V)。

(2)稳压管的选择

①稳压管的稳定电压

UZ=UL (3-247)

式中 UZ——稳压管的稳定电压(V)。

②稳压管的最大稳定电流

IZmax-IZ=ILmax-ILmin (3-248)

IZmax≥ILmax+IZ (3-249)

式中 IZmax——稳压管的最大稳定电流(A);

IZ——稳压管的稳定电流(A);

ILmax——最大负载电流(A);

ILmin——最小负载电流(A)。

(3)限流电阻的选择

①限流电阻的下限值

式中 Rmin——限流电阻R的下限值(Ω);

U1max——稳压电路最大输入电压(V);

UZ——稳压管稳定电压(V);

IZmax——稳压管的最大稳定电流(A);

ILmin——最小负载电流(A)。

②限流电阻的上限值

式中 Rmax——限流电阻Rs的上限值(Ω);

U1min——稳压电路最小输入电压(V);

UZ——稳压管的稳定电压(V);

IZ——稳压管的稳定电流(A);

ILmax——最大负载电流(A)。

③限流电阻Rs的额定功率

式中 PRs——限流电阻Rs的额定功率(W);

U1max——稳压电路最大输入电压(V);

UZ——稳压管的稳定电压(V);

R——限流电阻(Ω)。

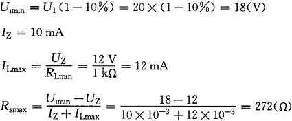
[例3-22] 在图3-61所示稳压二极管稳压电路中,已知U1=20V,变化范围±10%,稳压管稳压值UZ=12V,负载电阻RL的变化范围为1~2kΩ,稳压管的电流范围为10~60mA。求限流电阻Rs的取值范围。

[解] 限流电阻Rs的下限值

限流电阻Rs的上限值

因此限流电阻R的取值范围为

152Ω≤Rs≤272Ω

2.串联型稳压电路

由电压调整器件和负载串联组成的稳压电路叫串联稳压电路,它实际上是一种电压串联负反馈电路。

串联稳压电路由基准电压,取样电路、比较放大电路和调整器件等部分组成。

串联稳压电路中的电压调整管工作在放大区,它相当于一个可变电阻的作用。只要使可变电阻随输入电压的升高或降低而相应地增大或减小,即可使输出电压不变,达到稳压的目的。

串联稳压电路的比较放大环节可采用多级放大器。

(1)简单串联稳压电路

图3-62为简单串联稳压电路。图中Rs既是稳压管V1的限流电阻,又是调整管V2的偏置电阻,它和稳压管V1组成基本稳压电路,向调整管基极提供一个稳定的直流电压UZ,叫基准电压。当负载开路时,由电阻R2提供给调整管一个直流通路。根据三极管的集电极——发射极电压UCE会随基极电流IB改变而改变的特性,调整IB来控制UCE的变化。

图3-62 简单晶体管串联型稳压电路

简单串联稳压电路的有关计算为:

①调整管参数计算:三极管集电极-发射极间反向击穿电压为

BUCE0=(2~3)(U1max-Uo) (3-253)

式中 BUCE0——三极管集电极-发射极间反向击穿电压(V);

U1max——最大输入电压(V);

UL——输出电压(V)。

三极管集电极最大允许电流为

ICm=(2~3)Iomax (3-254)

式中 ICm——三极管集电极最大允许电流(A);

Iomax——最大负载电流(A)。

三极管集电极最大耗散功率为

PCm≥(U1min-UL)ILmax=UCEminILmax (3-255)

式中 PCm——三极管集电极最大耗散功率(W);

U1min——最小输入电压(V);

UCEmin——三极管集电极-发射极间最小电压,一般为2~4V。

②基准电压计算

UZ=UL+UBE (3-256)

式中 UZ——基准电压(V);

UL——输出电压(V);

UBE——调整管发射结死区电压,锗管为0.2~0.3V,硅管为0.6~0.8V。

③限流电阻计算

式中 Rs——限流电阻(Ω);

IZ——稳压管的稳定电流(A);

IBmax——调整管基极最大电流(A);

β——调整管电流放大系数。

(2)带电流负反馈放大电路的稳压电路

图3-63为带电流负反放大电路的稳压电路。简单串联稳压电路是直接用输出电压的微小变化去控制调整管,由于单个三极管的IB对UCE的控制作用不够大,所以稳压精度较差。带电流负反馈放大电路的稳压电路是先从输出电压中取得微小的变动量,经过放大后再去控制调整管,从而大大提高了稳压电路的稳压精度。图3-63中的V11为调整管。

图3-63 带电流负反馈放大电路的稳压电路

带电流负反馈放大电路的稳压电路的有关计算为:

①调整管参数计算:三极管集电极-发射极间反向击穿电压为

BUCE0=(2~3)(U1max-Uo) (3-258)

式中 BUCE0——三极管集电极-发射极间反向击穿电压(V);

U1max——最大输入电压(V);

UL——输出电压(V)。

三极管集电极最大允许电流为

ICm=(2~3)ILmax (3-259)

式中 ICm——三极管集电极最大允许电流(A);

ILmax——最大负载电流(A)。

三极管集电极最大耗散功率为

PCm≥(U1min-UL)Iomax=UCEminIomax (3-260)

式中 PCm——三极管集电极最大耗散功率(W);

U1min——最小输入电压(V);

UCEmin——三极管集电极-发射极间最小电压,一般为2~4V。

②基准电压计算

式中 UZ——基准电压(V);

UL——输出电压(V);

R1、R2——取样电阻(Ω)。

③限流电阻计算

式中 Rs——限流电阻(Ω);

IZ——稳压管的稳定电流(A);

IZmax——稳压管的最大稳定电流(A);

IC1min——三极管V11集电极最小电流,为0.5~2mA;

IC1max——三极管V11集电极最大电流,为

ILmax——最大负载电流(A);

β2——三极管V12的电流放大系数。

放大管负载电阻R3的计算公式为

式中 R3——放大管负载电阻(Ω);

U1min——最小输入电压(V)。

[例3-23] 在图3-62所示简单串联稳压电路中,已知输出电压UL=9V,最大负载电流ILmax=0.2A,最小输入电压U1min=12V,最大输入电压U1max=14V。求稳压电路中主要元件的参数。

[解] 根据UL=9V,可选择2CW2型的稳压管,其参数UZ=8~9.5V,IZ=5mA,IZmax=29mA。

调整管的参数

ICm=3ILmax=3×0.2=0.6(A)

PCm≥(U1min-UL)·ILmax=(12-9)×0.2=0.6(W)

如果调整管的β取90,则限流电阻为

随便看

 

离鸟网收录3541549条中英文词条,其功能与新华字典、现代汉语词典、牛津高阶英汉词典等各类中英文词典类似,基本涵盖了全部常用中英文字词句的读音、释义及用法,是语言学习和写作的有利工具。

 

Copyright © 2004-2024 vtrois.com All Rights Reserved
更新时间:2026/4/9 7:24:07