蒸煮反应主要是脱木质素反应,脱木质素反应速度和影响反应速度的因素是反应动力学研究的主要对象。
脱木质素为一复杂的多相反应,目前尚没有一个统一的公式可以表达整个蒸煮过程的脱木质素反应。其主要脱木质素阶段可用下式表示。

式中:L——纸浆中木质素含量,可以卡伯值表示;
n,a,b——反应级数;
K——反应速度常数;
t——反应时间。
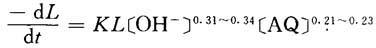
麦草烧碱—蒽醌法制浆中,纸浆卡伯值在11~15范围内,反应级数a为0.31~0.34;b为0.21~0.23;n=1。
所以,麦草烧碱—蒽醌法脱木质素的动力学公式可写为:

稻麦草烧碱—蒽醌法脱木质素速度常数K和活化能如表4-1-5和表4-1-6。
表4-1-5 麦草烧碱—蒽醌法脱木质素反应速度常数和活化能

表4-1-6 稻草烧碱—蒽醌法脱木质素反应速度常数和反应活化能(主要脱木质素阶段)

由表4-1-5可见,无论在主要脱木质素阶段还是补充脱木质素阶段,反应速度常数K均随反应温度的增加而增加,特别在低温阶段增加幅度更大。但至140℃以上时,反应速度的增值减少,因此,可以认为用稻麦草纤维原料制浆时,脱木质素速度并非随反应温度而直线增长。一般认为,在目前采用的用碱量条件下,150~155℃已有足够的脱木质素速率。