网站首页  词典首页


请输入您要查询的字词:

 

字词 立索尔紫红2R
类别 中英文字词句释义及详细解析
释义

立索尔紫红2R


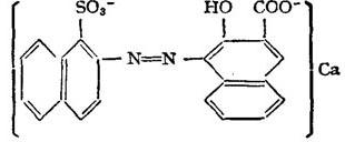
【结构式】:

【释文】:

性质 酱红色粉末。耐晒5~6级,耐热150~160℃,耐酸1级,耐碱1级,吸油量45±5%。

用途 本品可作为塑料、皮革、涂料、油墨及橡胶制品的红色着色剂。

国内生产厂 上海染化一厂

国外商品名

随便看

 

离鸟网收录3541549条中英文词条,其功能与新华字典、现代汉语词典、牛津高阶英汉词典等各类中英文词典类似,基本涵盖了全部常用中英文字词句的读音、释义及用法,是语言学习和写作的有利工具。

 

Copyright © 2004-2024 vtrois.com All Rights Reserved
更新时间:2026/4/9 10:31:41