网站首页  词典首页


请输入您要查询的字词:

 

字词 竖曲线的测设
类别 中英文字词句释义及详细解析
释义

竖曲线的测设


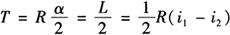
在路线纵坡变更处,为了行车的平稳和视距的要求,在竖直面内应以曲线衔接,这种曲线称为竖曲线。竖曲线有凸形和凹形两种,如图11-41所示。

图11-41 竖曲线

竖曲线一般采用圆曲线,这是因为在一般情况下,相邻坡度差都很小,而选用的竖曲线半径都很大,因此,即使采用二次抛物线等其他曲线,所得到的结果也与圆曲线相同。

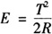
如图11-42所示,两相邻纵坡的坡度分别为i1,i2,竖曲线半径为R,则曲线长:

L=αR

由于竖曲线的转角α很小,故可认为

α=i1-i2

于是

L=R(i1-i2)

因α很小,,则切线长

又因为α很小,可以认为DF≈E,AF≈T,根据△ACO与△ACF相似,可以列出

R∶T=T∶2E

外距

同理可导出竖曲线上任一点P距切线的纵距(亦称高程改正值)的计算公式为

式中 x——竖曲线上任一点P至竖曲线起点或终点的水平距离;

y——在凹形竖曲线中为正号;在凸形竖曲线中为负号。

图11-42 竖曲线测设元素

随便看

 

离鸟网收录3541549条中英文词条,其功能与新华字典、现代汉语词典、牛津高阶英汉词典等各类中英文词典类似,基本涵盖了全部常用中英文字词句的读音、释义及用法,是语言学习和写作的有利工具。

 

Copyright © 2004-2024 vtrois.com All Rights Reserved
更新时间:2026/4/7 10:41:44