网站首页  词典首页


请输入您要查询的字词:

 

字词 第一类费用计算方法
类别 中英文字词句释义及详细解析
释义

第一类费用计算方法


式中 机械预算价格=原价+供销部手续费+运杂费+采购及保管费

机械残值=机械原价×残值率

其残值率一般采用4%-5%或按废钢铁价格计算。

机械使用总台班(或称耐用总台班),是指机械使用年限和年平均工作台班的乘积。年平均台班是根据全年天数扣除法定节假日、气候影响以及不同机械的定期检修、转移调运、施工组织等原因所引起的停工日计算,以台班作业制为基础。见表3-7。

表3-7 几种主要机械检修及耐用周期

一般机械年折旧率:运输机械按机械预算价格的7%;建筑机械为6%,中小型机械为5%。

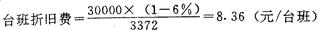
[计算例] 4.5吨载重汽车预算价格为30000元,机械残值为6%,预计使用总台班为3372台班,求台班折旧费。

式中 大修理次数=耐用总台班÷大修理间隔台班-1

大修理费计算要考虑进行大修时,全部解体机械,修理可修零件以及更换不可修理的零件等所消耗的机械配件、材料、油漆、燃料、动力、人工工资及检修运费等。

[计算例] 4.5吨载重汽车每次修理费预计5000元,大修理次数为4次,使用总台班为3372台班,求台班大修理费。

为了简化经常修理费的消耗材料和工时计算手续,可用大修理工料消耗为基础,参照维修比例表3-8。

表3-8 维修计算比例表

或者

台班维修费=台班大修理×Kn(系数)

式中

[计算例] 4.5吨载重汽车一次大修理费5000元,在大修理期间发生中修,定期保养费预算为7000元,求台班维修费。

台班维修费=6.01×1.40=8.41(元)

④替换设备、工具及附具费 包括机械上需要的蓄电池、变压器、开关、轮胎、电线、电缆、传动皮带、钢丝绳、胶皮管等替换设备以及为保证机械正常运转所需要的随机应用全套工具和附具的摊销费、维护费等。

替换设备,工具和附具费的耐用总台班由各地区决定,各种替换设备,一般均按原机配备数量全部予以考虑。但对部分机械的胶管、橡皮软线等,因实际需要量多少不一,为便于对该项费用的计算,综合以往资料作为参考,见表3-9。

表3-9 替换材料需要数量

其计算公式为

式中 相应单价是指替换设备、工具及附具的价格,按规定产品目录价格或市场供应价格计算。

⑤润滑材料及擦拭材料费

式中 润滑材料台班使用量

⑥机械管理费 包括机械管理部停车库、停车棚折旧费、维护和管理费以及机械在规定工作台班以外维护、保养费用。机械管理费率可按机械预算价格的1.5%计算。

随便看

 

离鸟网收录3541549条中英文词条,其功能与新华字典、现代汉语词典、牛津高阶英汉词典等各类中英文词典类似,基本涵盖了全部常用中英文字词句的读音、释义及用法,是语言学习和写作的有利工具。

 

Copyright © 2004-2024 vtrois.com All Rights Reserved
更新时间:2026/4/9 7:12:50