假如每年末向银行等额存款(A)元,年利率为i,
第n年末本利和如图2.2.5-1所示。

图2.2.5-1
计算公式为:

式中
称之为等额序列复利因数,可用(F/A,i,n)表示。
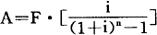
假如为在n年末能筹集一笔资金(F),在年利率为i时,资金存储图如图2.2.5-2。

图2.2.5-2
每年应定额存:

式中,
为资金存储因数,可用(A/F,i,n)表示。故上式可写为:
A=F(A/F,i,n)
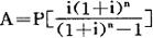
当期初投资(P),年收益率为i时,在n年内每年可回收资金,资金回收图如图2.2.5-3。

图2.2.5-3

式中,
称为资金回收因数,可用(A/P,i,n)表示,