网站首页  词典首页


请输入您要查询的字词:

 

字词 简化和统一化
类别 中英文字词句释义及详细解析
释义

简化和统一化


标准化工作的一项重要任务,正是要研究和开发寓于不同事物中的共性,控制那些不必要的甚至是有害的差异的不断增长,研究合理的统一。标准化这种求“同”和求“统”的性质,引导和启迪人们在生产实践中努力挖掘不同产品的共性,零部件的共性,对繁杂多样的事物进行科学合理的简化,异中求同,即简化;或使事物的多种表现形态归并为一种、多中求一,即统一化,以便在生产、经营管理和人类各种交往中减少混乱,提高效率,从而在相同的劳动耗费的前提下,获得最大的效果。因此,国内外许多标准化工作者认为,简化和统一化是标准化的两种最基本的形式,也是标准化的最重要的方法。

1.简化

任何事情只要有两个或两个以上的人在做,就会有几种做法,任何产品只要有两家以上的工厂生产,就会有几种式样。事物的多样化有其有利的一面,也有其不利的一面。一般来说,商品种类丰富是好事,但是,多得失去控制和无用处往往就会造成混乱。在生产和生活中,由于各种有意和无意的因素,如不加控制,事物总是向越来越多样化的方向发展。然而,人类有一种控制的本能,保护他们自身的利益,免除不必要的甚至是有害的差异的增长,有意识地进行合理的简化,减少事物的多样性和复杂性。

(1)简化的概念

简化就是对重复、多余和功能不良的事物,在既定时间内和满足各方面需要的基础上,进行合理的合并与删减。日本松蒲四郎教授说得更为简洁,他指出:简化就是减少某些事物的数量。这种方法不仅能简化目前的事物的多样性复杂性,而且还能预防将来事物发展不必要的多样性复杂姓。

(2)简化的类型

简化的方法可以运用于各种事物,在现代化大生产中,人们通常所说的简化指的是品种规格的合理简化。品种规格的合理简化有下列几种类型。

①产品品种规格的简化其中又有两种形式,其一根据产品的特性参数(如功率、速度、负荷等)形成系列。例如,载重汽车系根据载重吨数,如4t、6t、8t、12t形成系列:其二是根据型式尺寸形成系列,也称系列型谱。例如,普通万能车床根据车床最大工作回转直径,形成250、320、400、500、630、800、1000mm的系列。

②原材料品种规格的简化 一个工厂原材料的品种规格不对路,生产无法进行,品种规格过多过杂,特别是多余的、可替换的品种规格大量积存,将造成原材料贮备量的、增加,采购供应困难,长期占用仓库容积,大量积压流动资金。

③工艺装备品种规格的简化 一个企业如果所使用的工(具)、卡(具)、量(具)、刃(具)、辅(助装奋)品种规格过多过杂,容易造成管理和生产的混乱。

④零部件的简化 可提高产品中零部件标准化、通用化的程度。某挖掘机械制造厂,生产3种产品,图纸中出现了37种滑轮,需37种图纸,有20种装配形式,后经简化,滑轮规格仅需14种、装配形式仅需2种。

(3)简化的效果

事物的合理简化,将会给社会带来巨大的经济利益,这已为国内外无数的标准化实践所证明,许多国家的标准化学者都对合理简化的效果给予了高度的评价。日本松蒲四郎教授认为:标准化活动最实质的问题是简化和统一,促使事物从复杂到简单,从多样性到统一性,从无序到有序,澳大利亚标准协会理事蒂华尔特(W.I.Stewarnt)认为,在生产和交换过程中,标准化表现出来的许多优点中,第一就是简化。简化的效果体现在生产的各个环节中。

①在设计阶段 由于品种规格了合理简化,a提高了设计的技术水平;b减少了设计的错误;c缩短了设计的出图时间;d易于管理图纸;e能够有充裕时间,并可集中力量进行产品的改进和新产品的开发。60年代,日本造船业为改变船舶产品多品种、小批量、效率低的状况,大量建造标准船,使1970年的设计工作量下降到1965年的60~70%。某起重机厂生产的桥式、门式及其他起重机,标准化前单台设计、单台生产、一台一个样。起重机上的联轴器有400多种,减速器160多种,各种座子600多种,操纵室60多种。造成了设计图纸多、工艺装备多、车间模具胎具多、生产效率低,产品质量低、生产准备周期长的现象,阻碍了起重机生产的发展,经过合理简化,压缩了不必要的零部件的规格,扩大了通用部件的比率,80%产品投产后,不需重新设计和准备工装设备就可投产,为产品的“积木化”设计创造了条件,由于品种规格的合理简化,减少了设计工作中的重复劳动,设计人员可以从繁重的绘图中腾出更多的时间,去从事影响本企业的具有竞争能力的新产品的开发。

②在生产阶段 品种简化可使一种定型的产品相对持续稳定地生产,促使生产线运转时间延长,工夹具及安装时间缩短和机械化程度提高。没有品种简化,扩大生产批量时,新的工艺也无法采用。简化的效果在生产阶段可以归给为六个方面:a增大生产批量;b生产稳定重复;c便于采用流水作业新工艺;d库存的适应性好;e缩短交货期;f操作人员熟练。其中最突出的效果是减少不必要的品种规格,扩大生产批量,有利于采用高效的专用设备,实现生产过程机械化、自动化,为组织专业代生产创造条件哈尔滨锅炉厂生产的电站锅炉(一台配有20万kW发电机),锅炉管子的重量占整台炉子总重量的33%,工作量占50%左右,约有2000多排管子组成,需弯成不同角度的弯头2万多个。标准化前,蚊形管五花八门,规格杂乱,只能手工弯管,碰焊接头工作量大,劳动强度高,质量不稳定、材料消耗高。标准化后,简化了弯管半径规格,扩大的生产批量,为自动化弯管创造了条件,厂内搞了三条自动线,改变了单工序单件手工弯管的重体力劳动状况,生产效率提高3倍,1年的任务1季度就完成了(表2.2.1-1)。

表2.2.1-1 哈尔滨锅炉厂蛇形管弯管半径简化前后的效果对比

③在经营管理阶段 由于品种规格的合理简化,扩大了生产批量,单位产品所分摊的折旧费、间接费以及流动资金的占用都发生相应的变化。

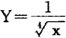
④简化效果的定量计算(经验公式) 1939年,法国标准协会名誉主席卡柯特(Caquot)研究了产品的制造成本与产量增加的关系,提出了着名的卡柯特定律:“产品的制造成本与产量的四次方根成反比”(即产量增加1倍,制造成本降低16%,增加到4倍,降低30%。增加到16倍,降低50%),用公式表示为:

式中 Y——单位产品制造成本为原成本的百分比,(1-y)为单位产品制造成本降低的百分比;

x——产量增加为原产量的倍数。

日本松浦四郎又从品种简化的程度研究了与降低成本的关系,松浦四郎收集并研究了法国、联邦德国、日本、前苏联、美国有关品种规格简化的实例,得出以下结论:制造中品种减少与生产量增加的效果大体是相同的。

根据这个结论,松浦四郎把制造成本的降低与产量增加,品种简化用公式联系起来,对卡柯特定律又作了进一步发展。

式中 C0、C1——分别代表简化前、后的单位产品成本;

Qo、Q1——分别代表简化前、后的产量;

Qpo、Qp1——分别代表简化前、后的品种数。

(4)简化的“度”与“时机”

简化要有一个“度”的界限,简化的程度超过了一定的限度:其效果会适得其反。因此,在研究产品或零部件的共性,简化不必要的品种规格时,必须充分考虑在一定时期内满足当时需要的限度。因为过分不合理的简化,对生产一方固然有可能暂时带来某些经济利益,但对使用一方,由于选择余地的减少会造成损失。例如过分简化会导致选择机会的减少,适用性能的降低等,因此,简化必须有一个合适的“度”。例如棉花、烤烟、羊毛等农牧产品的分级标准,过繁或过简都是不利的。至于合理简化掌握到什么程度,不能凭主观意志,必须从国民经济的全局利益出发,通过认真细微的技术经济论证来确定最优的方案。

另外,简化所选择的时机也十分重要,计算机的研究必须适时地考虑成系列的发展,同时还必须考虑算法语言的标准化、通用化及网络终端接口的统一问题。一般来说,过早简化有碍于技术的发展,过迟则会形成许多不必要的差异,造成既成事实,以致很难改变混乱的局面。适时简化最好。

(5)简化的方法

以零部件和材料的种类简化为例,说明加下。

图2.2.1-1 简化零部件和材料种类的方法

①控制新的不必要的零部件种类 这就要求设计人员提高标准化的意识,同时需要监视机构,对图纸进行核对检查。设计人员设计新产品时,应尽可能采用现有零件系统的图纸,现有图纸由标准化人员进行校对检查,建立防止产生无用图纸的制度。当然,修改图纸要与设计人员协商,取得其同意。为了尽量减少产生新零件的种类,可应用类似零件图纸汇编,从横向上研究零件之间的互换通用的可能性。对一些有条件的企业,则可将零件图纸缩微并制成缩微穿孔卡片,类似零件的图纸汇编,存放在设计人员周围,供他们随时查找。

②整顿现有的零部件和材料 清理出来用零部件,替换上通用零部件;或者对现有零部件分别规定“提倡使用”、“限制使用”、“保留使用”等类型,有分析地合理地压缩不必要的零部件的品种规格。对材料也是这样。

③简化产品结构、生产结构 运用价值分析等方法,简化和减少构成产品的零部件、材料的种类数。

(6)简化的现实意义

工业发达国家比较注意适时地研究事物发展过程中的简化和统一问题,这些国家生产的产品和零部件的通用化程度提高,甚至在商品开发的计划阶段就着眼于防止将来不必要的多样化的产生,以利降低成本提高劳动生产率,增加竞争能力。但是,在我国,标准化工作并未引起一些部门的高度重视,加上重复建厂,多头引进,热门产品蜂拥而上,各搞一套,产品和零部件规格繁杂的问题仍然十分突出,简化的潜力很大。从一个企业内部来看,由于管理不善,不重视标准化工作,品种规格杂乱,小批量、效率低的状况还相当普遍。

2.统一化

统一化是在一定范围、一定时间和一定条件下,把同一事物的不同表现形式进行归并,使之达到一定程度、一定水平的统一,它也是标准化最重要的形式之一。统一化和简化密切相关,统一含有简化的意义,但它是更高度的简化。两者间又有所区别。简化着重在减少和精练,统一化则强调统一性和一致性。在简化过程中,我们往往认为若干个合理的品种是必要的,而统一化的结果,一种事物一般只保留一种规定,这种规定可以是原有的,也可以是求同存异互相协商的结果。统一化是使对象的形式、功能、技术特征、程序和方法等具有一致性,消除混乱,建立社会实践活动的统一性。如中国古代统一度量衡、统一文字、统一货币、统一驰道、统一兵器、统一历法等便是统一化的典型事例。在现代社会实践中,需要统一的对象越来越多,需要统一的范围越来越广。

(1)统一的绝对性和相对性

统一有两类:一类是绝对的统一。例加,图形符号的统一,编码、代号的统一,运动方向(开关的转换、发动机轴的旋转以及御道交通规则)的统一等。它不允许有任何的灵活性,如果不统一,将会在生产和社会生活中造成混乱:另一类是相对的统一,这种统一是相对的暂时的,不是绝对的,永久不变的,过一段时间,由于事物的发展和条件的变化,需要重新统一,修订标准。例加,产品的质量标准便是对该产品的质量所进行的统一,而质量指标允许有灵活性(如标准分等、指标的上下限、公差范围等)。又如计量单位制本应绝对地统一,但在某些情况下,比如为了向采用英制的国家出口或为了与进口的英制设备配套,在经过一定的批准手续后,允许按英制生产产品。

(2)统一和异化问题

标准化工作不仅要解决“异中之同”,即统一的问题,而且在某些时候还要十分注意“同中之异”,“一中之多”的问题。从农业上来说,我们要善于对棉花里难以区别的不同等级的棉花,制订科学合理的分级标准,以利棉花和收购部门分摘、分晒、分存、分轧、分售,这样可以大大减少好次棉的掺混现象,提高一级棉的检出率,既贯彻“优质优价”,使棉农增加收益,得到实惠,又有利于“优棉优用”,为国家提供品质优良的原料。再从工业上来说,煤炭从表面上来看似乎是单一品种,实际上由于煤的成分、性质和用途不同,可分为许多种类,若把优质焦煤用于一般工业和作为民用燃料就很不经济,因此,我们要善于区分煤的不同种类,当根据生产的需要,分配和选用合适的煤种。(图2.2.1-2)。

图2.2.1-2 煤炭分类效果

随便看

 

离鸟网收录3541549条中英文词条,其功能与新华字典、现代汉语词典、牛津高阶英汉词典等各类中英文词典类似,基本涵盖了全部常用中英文字词句的读音、释义及用法,是语言学习和写作的有利工具。

 

Copyright © 2004-2024 vtrois.com All Rights Reserved
更新时间:2026/4/9 7:16:37