网站首页  词典首页


请输入您要查询的字词:

 

字词 简单几何平均(数)价格
类别 中英文字词句释义及详细解析
释义

简单几何平均(数)价格


对某商品的诸成交价格水平,利用几何平均法计算出的平均价格。

设有n种成交价格p1,p2,…,pn,P为平均价格

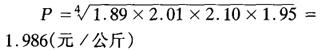
例如,某日4个市场上羊肉的价格分别为每公斤1.89元、2.01元、2.10元和1.95元,则该日市场上羊肉的简单几何平均价格为:

几何平均数有其特定的数学意义,应用于平均价格,也有其一定的意义,曾被欧美国家采用过。但是,一来计算繁杂,二来作为多种价格的代表意义不大,现已不再使用。

〖参〗简单算术平均数价格

随便看

 

离鸟网收录3541549条中英文词条,其功能与新华字典、现代汉语词典、牛津高阶英汉词典等各类中英文词典类似,基本涵盖了全部常用中英文字词句的读音、释义及用法,是语言学习和写作的有利工具。

 

Copyright © 2004-2024 vtrois.com All Rights Reserved
更新时间:2026/4/8 17:50:51