网站首页  词典首页


请输入您要查询的字词:

 

字词 简单构件的中性层展开
类别 中英文字词句释义及详细解析
释义

简单构件的中性层展开


(一)曲面构件的中性层展开

在多数情况下,曲面构件的弯曲半径和板厚之比均超过5,所以其展开长度均用板厚的中心层作为中性层进行计算。

1.圆柱管的中性层展开

图6-76a为圆柱管投影图、单线图和展开图。其里、外皮直径分别是d和D,高是H,且其断面为曲线形构件的特例,展开长度应以中径为准计算。由于圆管的内径、外径对求展开图没用,因而在展开时只画出中径即可。

图6-76 曲面构件的中性层展开

a.圆柱管的中性层展开 b.圆锥管的中性层展开

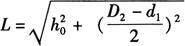
2.圆锥管的中性层展开

图6-76b为正截头圆锥管投影图和单线图,其大、小端的中性层直径为D2和d1,两端中性层圆之间的距离为h0,管壁厚为t。因侧表面具有倾斜度(锥度),使上下端口边缘不平,均具有里皮低、外皮高的特点,展开图高度以板厚中性层位置的垂直高度h0作为单线图高度,且大端圆弧长为πD2、小端圆弧长为πd1,展开长度L可由下式算得

圆弧所对圆心角为

圆锥管的展开图是扇形。

(二)平面构件的里皮层展开

当构件的断面形状为折线形状时,由于板厚为t的板料在拐角处发生急剧弯折,其里皮长度变化不大,但板厚的中心层和外皮都发生了较大长度的变化,并且其里皮弯折处半径可视为零,外皮弯折处圆角半径近似等于板厚t。所以,平面构件的展开,应以里皮的展开长度为准,在展开图时只画出里皮尺寸即可。

图6-77a为矩形管的投影图、单线图和展开图,单线图和展开图均是按矩形管里皮尺寸a和b绘制的。其中展开图是从矩形管前侧板中间切开绘制的,其展开总长为2a+2b。

图6-77 平面构件的里皮展开

a.矩形管里皮展开 b.双向弯折板里皮展开

图6-77b为双向弯折的弯板投影图和展开图。弯板中段应以前表面内角处到后表面内角处的距离作为其里皮长度,展开图的总长为a+b+c。但生产中大多平面构件板料不进行弯折,而是由数块平板拼焊而成。

(三)曲折混合构件的中性层展开

圆方过渡接头是由平面和锥面组合而成(图6-78a),其弯曲工艺具有圆弧弯板和折角弯板的综合特征。因此,其单线图上端圆口取中性层直径,下端方口取里皮尺寸(精度要求不高时),高度取上下口中性层的垂直距离,图6-78b所示为圆方过渡接头经板厚处理得到的展开单线图。

图6-78 圆方过渡接头的中性层展开

a.投影图 b.中性层单线图

随便看

 

离鸟网收录3541549条中英文词条,其功能与新华字典、现代汉语词典、牛津高阶英汉词典等各类中英文词典类似,基本涵盖了全部常用中英文字词句的读音、释义及用法,是语言学习和写作的有利工具。

 

Copyright © 2004-2024 vtrois.com All Rights Reserved
更新时间:2026/4/8 21:50:38