网站首页  词典首页


请输入您要查询的字词:

 

字词 简单调和平均数价格
类别 中英文字词句释义及详细解析
释义

简单调和平均数价格


对某商品的诸种成交价格利用数学上的调和(倒数)平均法计算出的平均价格。设有n种成交价格p1,p2,…,pn,P为平均价格。其公式如下:

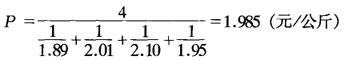
例如,某日4个市场上羊肉的价格分别为每公斤1.89元、2.01元、2.10元、和1.95元,则该日市场上羊肉的简单调和平均价格为:

调和平均数在数学上有其特定意义,但是,计算平均价格的实际意义不大。事实上,只有当各成交价格的相应销售额完全相同时,简单调和平均价格乘以销售总量才会等于销售总额。

〖参〗加权调和平均数价格

随便看

 

离鸟网收录3541549条中英文词条,其功能与新华字典、现代汉语词典、牛津高阶英汉词典等各类中英文词典类似,基本涵盖了全部常用中英文字词句的读音、释义及用法,是语言学习和写作的有利工具。

 

Copyright © 2004-2024 vtrois.com All Rights Reserved
更新时间:2026/4/7 0:54:18