网站首页  词典首页


请输入您要查询的字词:

 

字词 管导中的共振
类别 中英文字词句释义及详细解析
释义

管导中的共振


假定在长为l,横截面积为πa2的管导中,流体由振动活塞所策动,活塞位于左端x=0处,右端终结于x=l的声阻抗为ZAl

x=0处的输入阻抗ZA0

联立(11.3-38)与(11.3-37)式,消去复数声压振幅Pi及Pr,化简后得:

显然,输入阻抗不仅和末端阻抗ZAl有关,还和管长l及波常数k有关。

输入阻抗的纯抗分量趋近于0的频率,定义为管导的共振频率,这时输入阻抗为最小值,而开口端辐射出的功率为最大值。

为进一步表达,以(ρc/s)·(α+jβ)代替ZAl,(11.3-39)式可变为

应用XA0=0的条件就得到

βtan2kl+(β22-1)tankl-β=0 (11.3-40)

在α与β均小于1的低频极限条件下,(11.3-40)式的近似式为:

tankl=-β (11.3-40a)

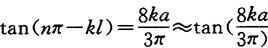
当x=l为无限大凸缘管导时,β≈8ka/3π,tankl=-8ka/3π的条件满足于

式中n为任意整数。

故有

对应于n=1的共振基频为:

显然,这管导的有效长度不是l而是l+8a/3π。这校正值与实验测量值0.82a相当符合。非凸缘管导的测量值为0.6a,这与(11.3-35)式中选择β=0.6ka是很符合的。

若在管的x=l处有刚性帽,故ZAl=∞,输入阻抗就变为

当cotkl=0时,纯抗为零,对应于

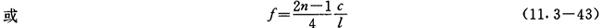
kl=(2n-1)π/2 n=1,2,3……

当n=1时,就有f1=c/4l,这就与另一端也封闭的管导振动的基频一致。故共振泛音包含基频的各阶奇次谐波,而不包含任何偶次谐波。

【参考文献】:

[1]IEC—327,Precision method for pressure calibration or one—inch standard condenser microphones by the reciprocity technique. 1971.

[2]1EC—486,Precision method for free—field calibration of one inch standard condenser microphones by reciprocity technique, 1974.

[3]IEC—150.Testing and calibration of ultrasonic therapeutic equipment, 1963.

[4]GB 3223-82,水声换能器的自由场互易校准

[5]GB 3785-83,声级计的电,声性能及测量方法

[6]GB 7341-87,听力计

[7]GB 7614-87,校准测听耳机用宽频带型仿真耳

[8]GB 7342-87,测听耳机校准用IEC临时参考耦合腔

[9]OIML R102,声校准器

[10]JJG 188-90,声级计

[11]JJG 698-90,积分声级计

[12]标准电容传声器有关国家标准及检定规程

[13]JJG 388-85,听力计

随便看

 

离鸟网收录3541549条中英文词条,其功能与新华字典、现代汉语词典、牛津高阶英汉词典等各类中英文词典类似,基本涵盖了全部常用中英文字词句的读音、释义及用法,是语言学习和写作的有利工具。

 

Copyright © 2004-2024 vtrois.com All Rights Reserved
更新时间:2026/4/8 6:19:56