网站首页  词典首页


请输入您要查询的字词:

 

字词 管道施工测量
类别 中英文字词句释义及详细解析
释义

管道施工测量


管道施工测量的内容与施工管道设置状态的不同有关。架空管道施工时,要测设管道中线、支架基础平面位置及标高等;地面敷设管道施工测量时,主要测设管道中线及管道坡度等;地下管道施工时,需要测设中线、坡度、检查井位以及开挖沟槽等测量工作。

现以地下管道全线开挖施工为例说明管道施工测量。

1.中线检核与测设

管道施工之前,应先熟悉有关图纸和资料,了解现场情况及设计示意图。对必要的数据和已知的主点位置应认真查对,然后再进行施工测量工作。

管道勘测设计阶段在地面已经标定了管道的中线位置,但是由于经历时间的变化,主点、中点标志可能移位或丢失,因此,施工时必须对中线位置进行检核。若主点标志移位、丢失或设计变更,则需要重新进行管道主点测设。

勘测时中线桩一般比较稀疏,施工时则需要适当加密中线桩。

2.标定检查井位置

检查井是地下管道工程中的一个组成部分,需要独立施工,因此应标定其位置。标定井位一般用钢尺沿中线逐个进行,并用大木桩加以标志。

3.设置施工控制桩

管道施工期间,中线上各桩将被挖掉,为了便于恢复中线和检查井的位置,应在施工开挖沟槽外不受施工破坏、引测方便、易于保存的地方设置施工中线控制桩和检查井控制桩。如图11-51所示,主点控制桩可在中线的延长线上,设置两个控制桩。检查井控制桩可在垂直于中线方向两侧各设置一个控制桩或建立与周围固定地物之间的距离关系,使井位可以随时恢复。

图11-51 主点控制桩布设

4.槽口放线

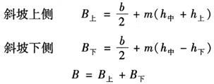
管道施工槽口宽度与管径、埋深以及土质情况有关。施工测量前应查看管道横断面设计图,如图11-52所示,沟槽口宽度首先决定槽底宽度b,该值大小主要取决于管径、挖掘方式和敷设容许偏差等因素;土质情况主要考虑边坡稳定;埋深则由设计图上取得。于是,当地面横向坡度比较平缓时[图11-52(a)],开挖槽口宽度可按下列公式计算

B=b+2mh

式中 b——槽底宽度;

h——中线上的挖土深度;

m——管槽边坡坡度的倒数。

当地面横向高低不同时[图11-52(b)],开挖槽口宽度按下列公式计算

沟槽口宽度B计算出来后,即可以中线为准,向两侧分别测设开挖边界,即为沟槽开挖边线。

图11-52 槽口边线

5.施工测量标志的设置

管道施工时,为了随时恢复管道中线及检查施工标高,一般在管线上要设置专用标志。常用方法如下。

(1)平行轴线桩法

当施工管道管径较小、埋深较浅时,在管线一侧设置一排平行于管道中线的轴线桩,如图11-53所示,平行间距a的大小与管径和埋深有关,以不受施工影响和方便测设为准。

图11-53 平行轴线桩布设

管道施工剖面如图11-54所示,施工时可用小钢尺随时测量平行间距a,恢复和检查中线位置。高程位置检查、浅埋管道,如图11-54(a)所示,平行轴线桩同时可以作为高程测设依据。若深埋管道,则如图11-54(b)所示,可在沟槽一侧设置腰桩,测出高程作为高程测设的依据。该法也适用于机械施工。

图11-54 管道施工剖面图

(2)坡度板、坡度钉法

当施工管道管径较大、管沟较深时,沿管线每隔10~20m设置跨槽坡度板,如图11-55所示。坡度板应埋设牢固,顶面水平。根据中线控制桩,用经纬仪将中线投测到坡度板上,并钉上小钉,作为中线钉。在坡度板侧面注上该中线钉的里程桩号,相邻中线钉的连线,即为管道中线方向,在其上悬挂垂线,即可将中线位置投测到槽底,用于控制沟槽开挖和管道安装。

为了控制管沟开挖深度,可根据附近水准点测出各坡度板顶端高程。板顶高程与管底高程之差就是开挖深度。由于各处挖深不同,不便记忆,于是在坡度板上设置高程板,用于调节各处挖深使之一致或为一整数(即下返数),然后在高程板上钉设坡度钉,由坡度钉向下量下返数(即为管沟底)。

图11-55 坡度板控制管道施工剖面图

随便看

 

离鸟网收录3541549条中英文词条,其功能与新华字典、现代汉语词典、牛津高阶英汉词典等各类中英文词典类似,基本涵盖了全部常用中英文字词句的读音、释义及用法,是语言学习和写作的有利工具。

 

Copyright © 2004-2024 vtrois.com All Rights Reserved
更新时间:2026/4/7 9:31:18