网站首页  词典首页


请输入您要查询的字词:

 

字词 紫胶红
类别 中英文字词句释义及详细解析
释义

紫胶红


别名 虫胶红

编码 GB 08.104

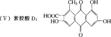
化学结构 主要着色成分为紫胶酸A(占85%)(Ⅰ)和紫胶酸B(Ⅱ)、紫胶酸C(Ⅲ)、紫胶酸(Ⅳ)E及紫胶酸D(Ⅴ)。

(Ⅰ)紫胶酸A:R=CH2CH2NHCOCH3

C26H19NO12 相对分子质量 537.44

(Ⅱ)紫胶酸B:R=CH2CH2OH

(Ⅳ)紫胶酸E:R=CH2CH2NH2

性状 红紫或鲜红色粉末。可溶于水、乙醇、丙二醇,但溶解度不大,20℃溶解度为0.0335%(水)、0.916%(95%乙醇)。纯度愈高,在水中的溶解度愈低。在酸性时对光和热均稳定。色调随环境pH变化而变化,介质pH小于4.0时,呈橙黄色;pH4.0~5.0时,呈橙红色;pH大于6.0时,呈紫红色;在碱性环境中(pH>12.0)易褐变。对金属离子不稳定,特别是铁离子含量在10-6以上,使色素变黑。

制法 以紫胶虫(Laccifer Lacca)的雌虫分泌的树脂状物质为原料,用水抽提,经钙盐沉淀精制而得。

质量标准

毒理学依据

1.LD50 大鼠口服1.8g/kg(bw)。

2.Ames试验 无致突变现象〔(财)日本食品药品安全中心,1978〕

使用 着色剂。

1.使用注意事项

(1)本品对金属离子,特别是铁离子敏感,使用中应尽量避与金属离子特别是铁离子接触。

(2)本品适于在偏酸性食品、饮料中使用。

(3)本品对人的口腔粘膜着色力较强。

(4)用于果露时,可在配制糖浆的后期添加;用于糖果时,可先配成溶液,再加到糖酱或糖膏中。

2.使用范围及使用量

(1)我国《食品添加剂使用卫生标准》(GB 2760-1996)规定:可在果蔬汁饮料类、碳酸饮料、配制酒、糖果、果酱、调味酱中使用,最大使用量为0.5g/kg。

(2)日本规定:用于果汁、糖酱、乳酸饮料、番茄制品、果酱、冷饮、胶姆糖、糖果、火腿、香肠、鱼糕,烘烤食品,使用量为0.05%~0.2%。

随便看

 

离鸟网收录3541549条中英文词条,其功能与新华字典、现代汉语词典、牛津高阶英汉词典等各类中英文词典类似,基本涵盖了全部常用中英文字词句的读音、释义及用法,是语言学习和写作的有利工具。

 

Copyright © 2004-2024 vtrois.com All Rights Reserved
更新时间:2026/4/7 13:54:24