网站首页  词典首页


请输入您要查询的字词:

 

字词 红曲红
类别 中英文字词句释义及详细解析
释义

红曲红


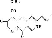
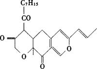
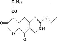
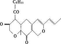
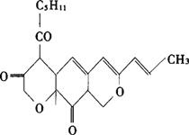
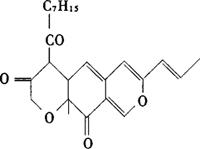
结构式:本品主要着色成分为

(Ⅰ)潘红(Rubropunctation)(红色着色剂)

分子式:C21H22O5

相对分子质量:354.40

(Ⅱ)梦红(Monascin)(黄色着色剂)

分子式:C21H26O5

相对分子质量:358.43

(Ⅲ)梦玉红(Mona Scorubrin)(红色着色剂)

分子式:C23H26O5

相对分子质量:382.46

(Ⅳ)安卡黄素(Ankaflavin)(黄色着色剂)

分子式:C23H30O5

相对分子质量:386.49

(V)潘红胺(Rubropunctamine)(紫红色着色剂)

分子式:C21H23NO4

相对分子质量:339.39

(Ⅵ)梦那玉红胺(Monascorubramine)(紫色着色剂)

分子式:C23H27NO4

相对分子质量:367.44

一、红曲米的色价的测定

色价测定

称取红曲米样品0.500g,放入带刻度的100mL具磨口塞试管中,加入70%乙醇至50mL,摇匀后放入60℃水浴保温萃取2h,取出冷却(必要时补充定容),用普通定性滤纸过滤入具塞试管或三角瓶中,约滤出10mL左右即可。吸取滤液1mL放入25mL刻度试管或容量瓶中,加入70%乙醇稀释定容至25mL。用1cm比色皿以70%乙醇作空白,在分光光度计上取波长505nm,测定样品萃取稀释液的吸光度,将测得的样品平均吸光度乘以2500(稀释倍数),即为红曲米的色价。

二、食品中红曲米的测定

1.原理

样品中红曲米经提取,净化后,TLC分离,与标准TLC板比较定性,选用分配系数在两相中不同而达到分离的目的。

2.试剂和溶液

2.1 硅胶 柱层析用,120~180目。

2.2 硅胶GF254。

2.3 甲醇。

2.4 正己烷 乙酸乙酯∶甲醇(5∶3∶2)。

2.5 氯仿∶甲醇(8∶3)。

2.6 海沙 先用1∶10盐酸煮沸15min,用水洗至中性,再于105℃干燥,贮于具塞的玻璃瓶中,备用。

2.7 石油醚 沸程60~90℃。

2.8 红曲红的标准溶液 取1g红曲红,加入30mL甲醇溶解,然后加入5g硅胶,拌匀,装50g硅胶层析柱中(湿法装柱),将拌有硅胶的红曲红装在柱顶,后用甲醇洗脱,直至洗脱下来的甲醇无色为止。然后减压浓缩至膏状,于60~70℃烘箱中烘干,约剩下0.89g的红曲红作为薄层分析用标准品。用甲醇配成1mg/mL的标准溶液。

2.9 红曲红标准使用液

临用时吸取标准溶液5.0mL,置于50mL容量瓶中,加甲醇稀释至刻度,此溶液每毫升相当于0.1mg红曲红。

3.仪器

3.1 微量注射器10μL。

3.2 展开槽25cm×6cm×4cm。

3.3 薄层板 市售预制硅胶GF254板。

3.4 层析柱。

3.5 接收瓶。

3.6 全玻璃浓缩器。

3.7 真空泵。

4.测定方法

4.1 样品处理。

4.1.1 配制酒:取10mL样品,于水浴上挥干,加少量乙醇溶解残渣,进行薄层分析。

4.1.2 蛋糕:取30.0g蛋糕,搅碎,加海沙少许,混匀,用热风机吹干样品即可,加入30mL石油醚去脂肪,重复3~5次,弃去石油醚,然后将蛋糕渣放入通风橱中,残余石油醚自然挥除后,放入蒸馏瓶中,加95%乙醇约90mL,回流30min,过滤,用乙醇洗涤5次,合并提取液,将提取液浓缩至20mL。此液留中测定用。

4.1.3 市售豆腐乳 取豆腐乳30g,搅碎,加95%的乙醇50~70mL,提取回流30min,过滤,用乙醇洗涤残渣5次,合并乙醇提取液,减压浓缩至20mL,此液留作测定用。

4.1.4 火腿肠:称取30g火腿肠,捣碎,加海沙少许,混匀,每次加入50mL石油醚提取脂肪,共提取3次,每次提取45min,过滤,滤液弃去,残渣放通风橱中,用吹风机吹干,用50mL甲醇提取红曲红30min,共3次,过滤,合并滤液,滤液中加入3mL的钨酸钠溶液沉淀蛋白,弃去蛋白,滤液减压浓缩至10mL,此液供测定用。

4.2 测定。

4.2.1 点样:取市售硅胶GF254板(4cm×20cm),离底边2cm处,点上述样品溶液10μL,同时在右边点2μL着色剂标准溶液。

4.2.2 展开:将4.2.1已点上样品与标准的二块板,分别放入试剂2.3和2.4中展开,待展开剂前沿至15cm处,取出,放入通风橱,晾干,在UV254nm下观察,试剂2.3,得到4个点,Rf分别为0.86,0.71,0.54,0.38,试剂3.4得到3个点,Rf分别为0.86,0.69,0.57。样品与标品的斑点的Rf一致。则证明样品的着色剂为红曲红。

随便看

 

离鸟网收录3541549条中英文词条,其功能与新华字典、现代汉语词典、牛津高阶英汉词典等各类中英文词典类似,基本涵盖了全部常用中英文字词句的读音、释义及用法,是语言学习和写作的有利工具。

 

Copyright © 2004-2024 vtrois.com All Rights Reserved
更新时间:2026/5/25 7:48:53