网站首页  词典首页


请输入您要查询的字词:

 

字词 红曲红
类别 中英文字词句释义及详细解析
释义

红曲红


别名 红曲色素

编码 GB 08.120

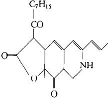
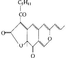
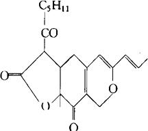
化学结构 本品主要着色成分为:

(Ⅰ)潘红(Rubropunctatin)(红色色素)

C21H22O5 相对分子质量 354.40

(Ⅱ)梦红(Monascin)(黄色色素)

C21H26O5 相对分子质量 358.43

(Ⅲ)梦玉红(Mona Scorubrin)(红色色素)

C23H26O5 相对分子质量 382.46

(Ⅳ)安卡黄素(Ankaflavin)(黄色色素)

C23H30O5 相对分子质量 386.49

(Ⅴ)潘红胺(Rubropunctamine)(紫红色色素)

C21H23NO4 相对分子质量 339.39

(Ⅵ)梦玉红胺(Monascorubramine)(紫色色素)

C23H27NO4 相对分子质量 367.44

性状 深紫红色粉末,略带异臭,易溶于中性及偏碱性水溶液。在pH4.0以下介质中,溶解度降低。极易溶于乙醇、丙二醇、丙三醇及它们的水溶液。不溶于油脂及非极性溶剂。其水溶液最大吸收峰波长为490±2nm。熔点165~190℃。对环境pH稳定,几乎不受Ca2+、Mg2+、Fe2+、cu2+等和氧化剂、还原剂的影响。耐热性及耐酸性强,但经阳光直射可退色。对蛋白质着色性能极好,一旦染着,虽经水洗,亦不掉色。本品的乙醇溶液最大吸收峰波长为470nm,有荧光。

结晶品不溶于水,可溶于乙醇、氯仿,色调为橙红色。

制法 将红曲用乙醇抽提、过滤、精制、干燥而得;或由红曲霉液体深层发酵液中抽提、精制、干燥而得。

质量标准

毒理学依据

1.LD50 小鼠口服大于10g/kg(bw)(粉末状色素);

小鼠口服大于20g/kg(bw)(结晶色素);

小鼠腹腔注射7g/kg(bw)。

2.Ames试验 阴性。

3.亚急性毒性试验 未见异常。

使用 着色剂。

使用范围及使用量 我国《食品添加剂使用卫生标准》(GB 2760-1996)规定:可在配制酒、糖果、熟肉制品、腐乳、雪糕、冰棍、饼干、果冻、膨化食品、调味酱中按生产需要适量使用。用于风味酸奶,最大使用量0.8g/kg。

随便看

 

离鸟网收录3541549条中英文词条,其功能与新华字典、现代汉语词典、牛津高阶英汉词典等各类中英文词典类似,基本涵盖了全部常用中英文字词句的读音、释义及用法,是语言学习和写作的有利工具。

 

Copyright © 2004-2024 vtrois.com All Rights Reserved
更新时间:2026/5/28 23:48:34