网站首页  词典首页


请输入您要查询的字词:

 

字词 纳他霉素
类别 中英文字词句释义及详细解析
释义

纳他霉素


别名 游霉素、匹马菌素、匹马利星

编码 GB 17.000;INS 235

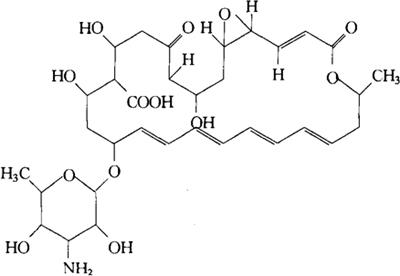
化学结构

C33H47NO13 相对分子质量 665.73

性状 为白色至乳白色粉末,可含3mol水,熔点约为280℃(分解)。不溶于水,微溶于甲醇,溶于稀盐酸、稀碱液、冰乙酸及二甲替甲酰胺,难溶于大部分有机溶剂。pH低于3或高于9时,可提高其溶解度。由于它具有环状化学结构,对氧化和紫外线极为敏感,故不宜与氧化剂和阳光接触。

制法

(1)由纳它尔链霉菌(Streptomyces natalensis)经发酵工艺、提取、精制而成。

(2)由纳它霉素与乳糖按1∶1比例混合则制得纳它霉素制剂(Natamax)。

质量标准

鉴别方法 采用紫外吸收光谱法。准确称取本品50mg,置于200mL容量瓶中,加5mL水润湿,加100mL冰乙酸-甲醇溶液(1+1000),在暗处机械振摇直至溶解,用冰乙酸-甲醇溶液稀释至容量瓶体积,混和。取混合液2mL置于100mL容量瓶中,用冰乙酸-甲醇溶液稀释至刻度,混匀。另按上述方法,用USP纳它霉素配制冰乙酸-甲醇溶液供作参比标准,二种溶液的紫外吸收光谱图应-致。

毒理学依据

1.LD50 小鼠口服1500mg/kg(bw)。

大鼠口服2730mg/kg(bw)(雄性)。

2.无毒性作用水平 大鼠口服25mg/kg(bw)。

狗口服6mg/kg(bw)。

人口服3mg/kg(bw)。

3.ADI 0~0.3mg/kg(bw)(FAO/WHO,1994)。

本品不能由动物或人的胃肠道吸收,无任何过敏潜在性。

使用 防腐剂、防霉剂。

1.使用注意事项

(1)本品对大部分霉菌、酵母菌和真菌都有高度抑制能力。但对细菌、病毒和其它微生物(如原虫等)则无抑制作用。

(2)本品在干燥状态下极为稳定。pH5~7时活性最高;pH3~6之间,活性可降低8%~10%;pH低于3,高于9,抑菌活性可降低30%。温度在室温时,活性最高,50℃以上,放置24h,活性明显降低。对光敏感,应避光保存。不宜与氧化剂、重金属接触,宜置于玻璃、塑料或不锈钢容器中。

(3)本品抑制食品中腐败霉菌和酵母菌的作用比山梨酸强。本品的MIC为1~10μg/mL,而山梨酸的MIC为500μg/mL。

(4)使用时可用浸泡法或喷雾法,使其分布于乳酪、水果、容器的表面。

(5)在富含酵母的酒中加入本品10mg/L,即可清除酵母;在苹果汁中加入本品30mg/L,6周之内可防止果汁发酵,并保持果汁的原有风味不变。在水果保存时,将苹果浸在含500mg/L本品的混悬液中1~2min后包装,可保存8个月。

2.使用范围及使用量 我国《食品添加剂使用卫生标准》(GB 2786-1996)规定:用于乳酪、肉制品(肉汤、西式火腿)、广式月饼、糕点表面、果汁原浆表面、易发霉食品,使用200~300mg/L本品混悬液喷雾或浸泡,残留量小于10mg/kg;加工器皿表面,使用限量为10mg/kg;沙拉酱,最大使用量0.02g/kg,残留量10mg/kg;发酵酒,使用量10mg/L。

随便看

 

离鸟网收录3541549条中英文词条,其功能与新华字典、现代汉语词典、牛津高阶英汉词典等各类中英文词典类似,基本涵盖了全部常用中英文字词句的读音、释义及用法,是语言学习和写作的有利工具。

 

Copyright © 2004-2024 vtrois.com All Rights Reserved
更新时间:2026/4/8 20:31:29