消费者对各种商品的支出与商品价格和消费者收入成线性函数关系的系统。是在对数效用函数的特殊情况下,由效用极大化一阶条件导出的。在两种商品情形下,给定消费者对数形式的效用函数:
U=α1ln(x1-β1)+α2ln(x2-β2)
其中α1和α2(α1+α2=1)称为份额参数,参数β1>0和β2>0是维持生存的最小需求量。效
用函数的定义域为:
x1>β1,x2>β2
消费者预算线为:
p1x1+p2x2=m
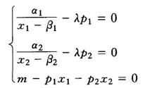
效用极大化的一阶条件为:

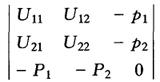
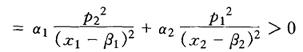
式中,λ为拉格朗日乘数。效用极大化二阶条件在定义域内成立,因为:


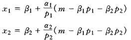
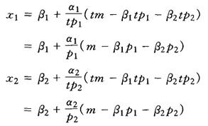
式中,Uij(i,j=1,2)是效用函数的二阶导数。求解一阶条件得需求函数:

将上述需求函数分别乘以p1和p2得消费函数:
C1=β1p1+α1(m-β1p1-β2p2)
C2=β2p2+α2(m-β1p1-β2p2)
其中C1=p1x1和C2=p2x2分别表示消费者对第一种商品和第二种商品的消费支出。他们与价格和收入成线性关系,故为线性消费系统。它适合于进行线性回归分析,并且满足对p1、p2和m的零阶齐次性,即:
