网站首页  词典首页


请输入您要查询的字词:

 

字词 线性相关分析
类别 中英文字词句释义及详细解析
释义

线性相关分析


对于二元连续型(1)总体(X,Y)T,人们研究其两个分量之间的关系,途径之一是采用(随机)自变量X的如下线性函数作为(随机)因变量Y的模拟:

0+βX (48.3.1)

线性模拟,在每一个观测单元上的取值,即总体Y的线性模拟值,与总体X在同一个观测单元上的取值X之间具有与(48.3.1)式同样的线性关系:

x0+βx (48.3.1)1

x—y平面上用(48.3.1)1式表示的直线称为总体Y关于总体X的一元回归直线。

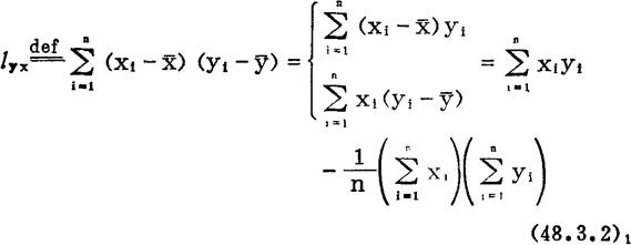
为了由总体()的样本观测值()=()用最小二乘法求得截距β0和斜率β的估计值b0和b,从而求得线性模拟的估计值=b0+bx,需要首先定义样本观测值的相关矩lyx,协方差Syx和相关系数r:

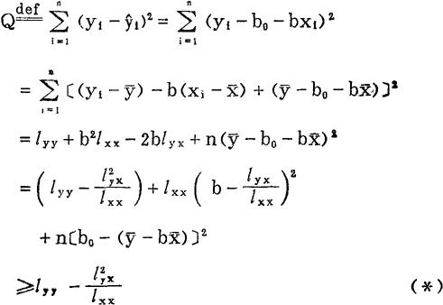
最小二乘法是求得满足下式的b0和b的方法(2)=min,其中:对i=1—n(48.3.3)

i=b0+bx1,是线性模拟i0+βxi的估计值

首先由=0推出b0=,将其代入1=0,解出。下列简单的推导表明,这样求得Q的驻点是Q的最小值点:

以上推导过程最后一步“≥”的等号当且仅当用求得的驻点

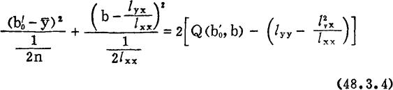
(b0,b)=()代入Q(b0,b)时成立。可以把(*)式最左端与最后一个等式右端改写如下:令=b0+

上式表明,Q=Q()在-Q空间的图形是以(,lyy-)为顶点,开口向上的椭圆抛物面,其顶点是最低点,即Q的最小值点,如图48—1所示。

图48—1

这样,就得到了(48.3.1)1式的最小二乘估计:

,其中:(48.3.1)2直线(48.3.1)2式通过点()。又由(*)式可知:minQ=lyy-lyy(1-r2) (48.3.5)由上式可知相关系数具有如下性质(3)

(1)|r|≤1,这是因为minQ≥0。

(2)如果r=±1,则完全线性相关:

由于minQ=Q(±X,±)=0,所以对i=1—n,y1=1=±(xi-X),n个点(xi,yi),i=1—n完全位于回归直线上。

(3)如果r=0,则线性无关:

由于minQ=Q(,0)=lyy,所以对i=1—n,i,不随xi改变。回归直线x=不能表达之间或者存在某种非线性关系或者没有关系。

(4)|r|越大,线性相关越密切:

minQ越小,表示n个点(xi,y1),i=1-—n越接近回归直线。

(5)r>0称为正相关;r<0称为负相关:

b>0,i随xi增大而增大,表示yi随xi增大有增大的趋势;b<0,i随xi增大而减小,表示yi随xi增大有减小的趋势。

样本观测值的相关系数r表示样本观测值]线性相关的密切程度以及正、负相关,这跟总体相关系数ρ对于总体Y与X所表示的概念是一样的。推断ρ0并且用r作为它的估计值,是以|r|>rα(n-2)为前提。只有在这种情形,(48.3.1)1式中的斜率,才有必要用(48.3.1)2式作为β0、β以及(48.3.1)1式的最小二乘估计。rα(n-2)可以查“检验相关系数ρ=0的临界值(rα)表”得到,n-2是自由度。相关分析的步骤如表48—1所示。

表48—1

可以使用SHARP-5002计算器的如下程序求得r与b0、b以及ρ的置信度为1—α的置信区间:

(1)—→STAT

在上例中,r=0.87,u5%=1.96,n=30,算得ρ的95%置信区间是(0.7424,0.9367)。置信度1-α表示可靠性。uα可以查“标准正态分布的双侧分位数(uα)表”得到,一般常用u5%=1.96。

对于三元连续型总体(X1,X2,Y)T,如果研究工作需要以X1和X2为(随机)自变量,而以Y为(随机)因变量,则类似于(48.3.1)式和(48.3.1)1式,有:

=β0+β1X12X2 (48.3.7)

x=β0+β1x12x2 (48.3.7)1

x1x2-y立体空间中的平面(48.3.7)1式称为总体Y关于总体X1、X2的二元回归平面。它的最小二乘估计是:

x=b0+b1X1+b2X2,其中:b0=-b11—b2X2(48.3.7)2

以上求b1和b2的公式右端各量的足码1与2分别是总体X1的取值x1与总体X2的取值x2的代号。这里假设行列式=l11l22-l>0。计算12;l11,l12=l21,l22;ly1,ly2是使用总体的样本观测值=

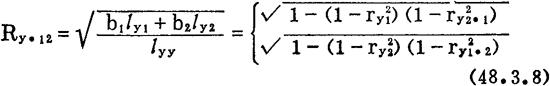
线性相关的密切程度用下列复相关系数表示:

上式中的b1和b2是β1和β2的最小二乘估计值,由(48.3.7)2式求出。ry1.2和ry2.1称为偏相关系数:ry1.2从ry1中消除了的影响;ry2.1从ry2中消除了的影响。上述的“影响”来自的(线性)相关系数r12

(编者:刘长安 审者:孙尽善)

随便看

 

离鸟网收录3541549条中英文词条,其功能与新华字典、现代汉语词典、牛津高阶英汉词典等各类中英文词典类似,基本涵盖了全部常用中英文字词句的读音、释义及用法,是语言学习和写作的有利工具。

 

Copyright © 2004-2024 vtrois.com All Rights Reserved
更新时间:2026/4/9 7:12:34