网站首页  词典首页


请输入您要查询的字词:

 

字词 线路竣工后检测
类别 中英文字词句释义及详细解析
释义

线路竣工后检测


为了保证输电线路的安全运行,施工完成后,应进行必要的检查。如对某些档内的弛度和限距是否合乎设计要求感到怀疑时,必须用仪器进行测量。

1.限距检测

检测时,将经纬仪安置在与线路大致垂直的方向上,在导线下面立尺,用三角高程测定该地面点对仪器的高差,同时求出平距;再照准立尺点上空的导线,观测天顶距,根据此天顶距和立尺点的平距计算出导线对仪器的高差。两个高差相减,即得导线对地面的距离,应满足限距要求。此项检核也可利用全站仪的悬高测量功能实现。

2.弛度检测

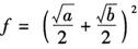
检测限距的方法很多,最简单的一种方法是利用求垂弧公式,即在档距的中垂线上安置经纬仪,用上述测定限距的方法测定两悬挂点和导线中间点的相对高程计算弛度。对于检测弛度的地方是在跨越河流和主要交通线的挡内,如图15-12所示用档端天顶距法求弛度。在A端安置经纬仪,先用望远镜中丝切着导线,读得天顶距Z1,再照准悬挂点B,读得天顶距Z2,于是可求得b=D(cotZ2-cotZ1);此外,在杆塔设计图中可查得悬挂点A对施工基面的高程H,而仪高i可以直接量取,于是可求得a=H-i。最后,按下式计算弛度f。

此项检核也可利用全站仪的悬高测量功能实现。

图15-12 档端天顶距法求弛度

随便看

 

离鸟网收录3541549条中英文词条,其功能与新华字典、现代汉语词典、牛津高阶英汉词典等各类中英文词典类似,基本涵盖了全部常用中英文字词句的读音、释义及用法,是语言学习和写作的有利工具。

 

Copyright © 2004-2024 vtrois.com All Rights Reserved
更新时间:2026/4/8 10:25:13