聚氯乙烯树脂的分子量对加工工艺和制品性能有很大的影响,所以平均分子量的大小是选择树脂的重要依据。我国一般采用1%聚氯乙烯树脂的二氯乙烷溶液的绝对粘度,来表示乳液法聚氯乙烯树脂平均分子量的关系;用粘数表征悬浮法聚氯乙烯树脂(疏松型)分子量的近似值。
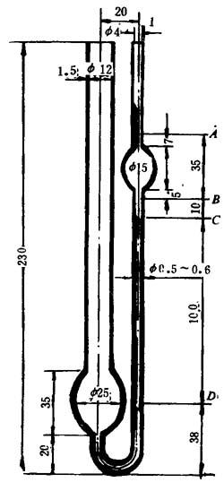
粘对粘度的测定要点是将树脂配成1%的二氯乙烷混合液,在80~85℃水浴中溶解,补足损失之二氯乙烷后注入事先已测常数K值的奥氏粘度计中,于20±0.1℃水浴中测诱液流经两刻度之时间。见图10-1-1。

图10-1-1 奥氏粘度计
计算公式:x1=K·D·T
式中 x1——1%树脂的1,2-二氯乙烷溶液20℃的绝对粘度cP
K——粘度计常数cP/s
D——1%二氯乙烷树脂溶液的相对密度(20℃)
T——树脂溶液流经粘度计两刻度的时间(s)
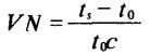
粘数是通过测定浓度为0.005g/l的环己酮溶液和溶剂流经气承液柱式乌氏粘度计的时间,按下式计算得到的。

式中 VN——粘数(ml/g)
ts——溶液流经时间(s)
t0——溶剂流经时间(s)
c——溶液浓度(0.005g/ml)
详细测定方法见HG2-883-76、HG2-775-74、GB5761-86和GB3401-82。