网站首页  词典首页


请输入您要查询的字词:

 

字词 绞股蓝
类别 中英文字词句释义及详细解析
释义

绞股蓝


【名称出处】:《救荒本草》

【概况】:

异名 小苦药、公罗锅底、遍地生根、七叶胆(《中药大辞典》)。

基源 为葫芦科绞股蓝属植物绞股蓝的全草。绞股蓝属全世界约13种。中国有11种2变种,其中药用的约3种。

原植物 绞股蓝 Gynostemma pentaphyllum(Thunb)Makino[Vitispentaphylla Thunb.;Gynostemma pedata Bl.;G.pedata Bl.var.hupehense Pamp;G. pedatum Bl.var trifoliatum Hayata;Pestalozzia pedata(Bl.)Zoll.et Mor]

历史 《救荒本草》始载云:“绞股蓝生田野中,延蔓而生,叶似小蓝叶,短小软薄,边有锯齿,又似痢见草,叶亦软,淡绿,五叶攒生一处,开小花,黄色,亦有开白花者。结子如豌豆大,生则青色,熟则紫黑色,叶味甜”所述即本种。”

形态 草质攀援植物;茎细弱,具分枝,具纵棱及槽,无毛或疏被短柔毛。叶膜质或纸质,鸟足状,具3~9小叶,通常5~7小叶,叶柄长3~7cm,,被短柔毛或无毛;小叶片卵状长圆形或披针形,中央小叶长3~12cm,宽1.5~4cm,倒生小叶较小,先端急尖或短渐尖,基部渐狭,边缘具波状齿或圆齿状牙齿,上面深绿色,背面淡绿色,两面均疏被短硬毛,侧脉6~8对,上面平坦,背面凸起,细脉网状;小叶柄略叉开,长1~5mm。卷须纤细,2歧,稀单一,无毛或茎部被短柔毛。雌雄异株。雄花为圆锥花序,花序轴纤细,多分枝,长10~15(-30)cm,分枝扩展,长3~4(15)cm,有时基部具小叶,被短柔毛;花梗丝状,长1~4mm,基部具钻状小苞片;花萼筒极短,5裂,裂片三角形,长约0.7mm,先端急尖,花冠淡绿色或白色,5深裂,裂片卵状披针形,长2.5~3.0cm,宽约1mm,先端长渐尖,具1脉,边缘具缘毛状小齿;雄蕊5,花丝短,联合成柱,花药着生于柱之顶端。雌花为圆锥花序,远较雄花短小,花萼及花冠似雄花。子房球形,2~3室,花柱3枚,短而叉开,柱头2裂;具短小的退化雄蕊。果实肉质,不裂,球形,径5~6mm,成熟后黑色,光滑无毛,内含倒垂种子2粒。种子卵状心形,径约4mm,灰褐色或深褐色,顶端钝,基部心形,压扁,两面具乳状凸起。花期3~11月,果期4~12月。(图见《江苏植物志》,下册.804页.图2075)

生境与分布 生于海拔300~3200m的山谷密林中,山坡疏林、灌丛中或路边草丛中。分布于陕西南部和长江以南各地。印度、尼泊尔、锡金、孟加拉、斯里兰卡、缅甸、老挝、越南、马来西亚、印度尼西亚(爪哇)、新几内亚、北达朝鲜和日本。

注 该种是绞股蓝植物中分布最广、变化最大的一种,尤其是小叶的数目、毛被的疏密以及果实等方面变化较大。有3小叶,5~7小叶和9小叶的类型;有叶疏被短毛和小叶厚而无毛的类型;有果实光滑无毛和果实密被短柔毛的类型。尽管有各种类型,除果实密被短柔毛的类型外,均作本种处理。

【生药】:

栽培 宜温暖阴湿环境中生长,忌烈日直射,耐旱性差,对土壤要求不严,一般山地林下或阴坡山谷均可种植,但以肥沃疏松的砂质壤土为好。用营养繁殖。在2~3月或9~10月进行根茎繁殖,将根茎挖出后剪成5~7cm小段,每段应有1~2节,按株行距30×50cm开穴,每穴播放1段,覆土约3cm;5~7月可用茎蔓扦插繁殖,将茎蔓剪成若干小段,每段应有3~4节,剪去下面2节小叶后,按株行距10×10cm埋插,插条1/2处露出床面,并浇水保湿,待新芽长至10~15cm时移植大田。亦可在春季用种子直播或育苗移栽。出苗后应注意松土除草,勤浇水,遮荫避风。生长期间需搭棚遮荫或设支架,以利引蔓缠绕生长。苗期用人畜粪水追施;生长盛期追施氮磷钾复合肥2~3次;每次收割后均需追肥1次。雨季注意排水。

采集 9~10月采收,除去泥沙及杂质,阴干或晒干。

贮藏 置阴凉干燥处,防霉。

【化学】:

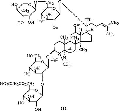
地上部分含85种达玛烷型皂甙:绞股蓝皂甙(Gy-penoside)1~79、TN-1、TN-2、原绞股蓝皂甙元A2[1]、6″-丙二酰人参皂甙-Rb1、6″-丙二酰人参皂甙-Rd和6″-丙二酰绞股蓝皂甙5(1)。其中绞股蓝皂甙3、4、8、12分别与人参皂甙-Rb1、-Rb3、Rd、F2结构相同。绞股蓝皂甙1~16等经酶水解得20(S)原人参萜二醇的20-O-β-D-葡萄吡喃糖甙(即人参皂甙K);绞股蓝色甙3、4、5等经弱酸水解得人参皂甙Rg3[1]

近年来又鉴定了8个甾醇类化合物[3,7],其中4α,14α-二甲基-5α-麦角-△7,9(11),24(28)-三烯-3β-醇是天然物中存在有△7,9(11)-烯的4α-甲基甾醇,属首次报导[4]

叶含甜菜内酯。尚含丙二酸、商陆黄酮甙(Ombuoside)、芦丁[8]以及K、Na、Ca、Fe、P、Zn、胡萝卜素、维生素B1、B2、C、E和多糖等[1]。另有综述论文多篇[9,10]

热水提取物中含血小板凝聚因子[1]

另长梗绞股蓝含长梗绞股蓝皂甙(Gylongoside)甲和乙[11]

参考文献 [1] 药学通报 1988;23(12):720 [2] CA 1989;111:74746e [3] CA 1989;110:72487b [4] CA 1990;113:74874m [5] CA 1989;111:150538f [6] CA 1989;110:4654d [7] CA 1987;107:194933c [8] 中国中药杂志 1989;14(11):676 [9] 天然产物研究与开发 1992;4(1):83,1991;3(4):16 [10] 中成药 1992;14(1):39 [11] Chinese Chemical Letters 1991;2(3):2210 [12] 国外医学植物药分册 1993;(1):14

【药理】:

①对中枢神经的作用 绞股蓝浸膏450mg/kg ig,对小鼠自发活动有抑制作用,对小鼠热板法试验,表明有镇痛作用[1]。绞股蓝水提剂、20%醇提液及95%醇提液3g/kg sc。连续4~5d,均可改善樟柳碱引起的小鼠记忆障碍(跳台法),20%醇制剂0.75g/kg sc,单体Rb1 50mg/kg ip,连续3d,均可部分对抗乙醇引起的记忆获得障碍,Rb1 25mg/kg ip1次给药,可拮抗戊巴比妥钠造成的记忆获得障碍,20%醇制剂0.75,1.5g/kg sc,连续5~6d,或1次性给药,可分别对抗环己酰亚胺和氯霉素所致记忆获得障碍,并对抗乙醇引起的记忆再现障碍[2]。 ②对心血管的作用 绞股蓝总皂甙1mg/kg iv,使麻醉犬动脉收缩压、动脉舒张压、平均动脉压均显着上升,明显增加左室收缩压(LVSP)、室内压最大上升速率(+dp/dtmax)及室内压最大下降速率(-dp/dtmax),20mg/kg iv,则出现心率减慢,动脉收缩压、舒张压、平均动脉压、室内压最大上升速率均下降,剂量大小的作用呈正负双相效应[3]。绞股蓝总甙100mg/kg ip,能缩小兔冠脉结扎引起的心肌梗塞范围,抑制心肌梗塞后游离脂肪酸的升高;100mg/kg ip,可降低大鼠梗塞心肌丙二醛的含量,保护心肌超氧化物岐化酶及磷酸肌酸激酶活性[4]。绞股蓝皂甙5,10mg/kg iv,明显降低麻醉犬血压和总外周阻力,以及脑血管和冠状血管阻力,增加冠脉流量,减慢心率,使心脏张力-时间指数下降,对心肌收缩性能和泵血功能无明显影响[5]。绞股蓝总甙5mg/只iv,可对抗垂体后叶素引起的蟾蜍心电图T波的降低,在垂体后叶素前或后注入均有作用[6]。 绞股蓝总皂甙25mg/kg ip,可使冠脉结扎大鼠在缺血24h的心肌梗塞范围缩小,并使缺血6及10h的大鼠血清磷酸肌酸激酶(CPK)和乳酸脱氢酶(LDH)明显降低,使缺血后30分钟的缺血边缘心肌的超微结构损伤明显减轻,大鼠乳鼠心肌细胞体外培养,绞股蓝总皂甙50,100,200μg/ml可抑制心肌细胞缺糖缺氧损伤,抑制CPK及LDH的释放,表明绞股蓝总皂甙对缺血缺氧心肌具保护作用[7]。绞股蓝总皂甙50mg/kg iv,对关闭双侧颈动脉造成脑缺血的家兔有保护作用,明显改善脑缺血60分钟后的脑电图变化,降低脑静脉血中LDH和CPK活性,改善缺血后脑组织形态变化[8]。 ③对血小板聚集和花生四烯酸代谢的影响 绞股蓝水煎醇提物0.25~2.0g/L浓度,体外试验,明显抑制花生四烯酸诱导的兔血小板聚集和血栓素B2(TXB2)释放,剂量与效应相关,其抑制血小板释放TXB2的ID50为0.28g/L;35mg/kg iv,对兔血小板聚集也明显抑制,TXB2释放量也明显减少;0.25~4g/L,对兔胸主动脉释放6-酮-PGF无明显影响,结果表明绞股蓝根取物对降低TXA2/PGI2比值有较好的作用[9]。绞股蓝总皂甙50mg/kg sc,可抑制大鼠血小板血栓及静脉血栓,0.25,0.5,1.0mg/ml体外试验,可抑制兔血小板TXA2生成,1mg/ml可抑制免主动脉环6-Keto-PGF生成,对TXB2及6-Keto-PGF生成的IC50分别为1.07及1.15mg/ml[10]。 绞股蓝热水提取物(一种热稳定物质)1/100,1/200浓度,体外试验对牛血小板有聚集作用,此聚集作用可为PGI2抑制,而不为阿斯匹林所影响,可为β-葡萄糖甙酶所灭活,而不为蛋白酶所影响,故认为是一种葡萄糖甙或多糖[11]。 ④降血脂作用 绞股蓝总皂甙200mg/kg ig,可降低高血脂大鼠、小鼠血清总胆固醇,降低低密度脂蛋白和极低密度脂蛋白,升高高密度脂蛋白和HDL/LDL的比值[12]。 绞股蓝粗皂甙100,500mg/kg混于饲料中喂饲,对由高糖、脂肪喂饲引起的高脂血症肝损伤大鼠,可使血清总胆固醇、甘油三酯、脂质过氧物及谷丙转氨酶含量均下降,肝脂质过氧化物也减少[13]。 ⑤对免疫功能的影响 绞股蓝总皂甙400mg/kg ig,连续5d,对环磷酰胺所致的小鼠血清溶血素抗体的减少,150mg,300mg/kg ig,连续15d,对地塞米松所致的大鼠脾脏空斑形成细胞(PFC)、特异性玫瑰花形成细胞(SRFC)和脾细胞抗体分泌量(QHS)减少,以及400mg/kg ig,连续12d,对荷瘤(S180实体瘤)小鼠的PFC、SRFC和QHS减少,均有对抗作用,并能减轻环磷酰胺所致小鼠免疫器官的萎缩[14]。 绞股蓝总皂甙200,400mg/kg ig,连续10d,对环磷酰胺引起的小鼠胸腺、脾脏萎缩、血清溶血素抗体含量下降及E玫瑰花结减少,均呈明显对抗作用,50,100mg/kg ig,连续10d,对正常小鼠的胸腺、脾脏、溶血素、E-玫瑰花结,均呈双向调节作用,即高于中位数的向低调,低于中位数的向高调(以对照组中位数为准),400mg/kg ig,连续12d,可对抗环磷酰胺引起的自然杀伤细胞(NK)活性的降低[15]。绞股蓝总皂甙10,30mg/kg sc可增强小鼠由Con A诱导的脾T淋巴细胞增殖反应和由LPS诱导的脾B淋巴细胞增殖反应,并提高脾细胞白细胞介素2(IL-2)的生成[16]。 绞股蓝总皂甙300mg/kg ig,连续7d,增强小鼠腹腔巨噬细胞吞噬功能,增加小鼠血清总补体活性,降低小鼠血清溶血素抗体水平,但提高血清IgG的含量,延长小鼠移植心肌的存活时间[17]。 绞股蓝水提物250,500mg/kg ig,连续6d,可对抗环磷酰胺引起的小鼠外周血白细胞的减少[18]。 绞股蓝总皂甙10,20mg/kg ip,连续7d,可增强大鼠脾细胞对丝裂原Con A诱导的增殖反应,10mg/kg组更为显着,而使下丘脑和脾脏的去甲肾上腺素含量下降,与脾细胞增殖反应呈负相关;此外,血浆皮质酮水平也下降,提示绞股蓝总皂甙对免疫反应的影响与作用于神经内分泌免疫调节网络,进而发挥免疫增强作用具有密切关系[19]。 绞股蓝总皂甙10~80mg/L浓度体外试验,或100,200mg/kg ip,均可协同Con A使正常小鼠脾细胞产生IL-2明显提高;10~40mg/L体外试验,或50~200mg/kg ip,也均可协同ConA使大黄脾虚模型小鼠低下的IL-2活性提高,并恢复至接近正常[20]。 ⑥抗肿瘤作用 绞股蓝总皂甙50mg/kg ig,连续7d,对小鼠肉瘤(S180)有抑制作用[21]。 绞股蓝总皂甙30,300mg/kg ig或120mg/kg ip连续10d,对小鼠肉瘤(S180)均有抑制作用,体外试验,绞股蓝总皂甙0.38%~0.75%浓度对S180细胞有直接杀灭作用[22]。 ⑦保肝作用 绞股蓝总皂甙50mg/kg sc,连续6d,可抑制CCl4引起的大鼠血清谷丙转氨酶的升高,对部分切除肝脏的大鼠有促进肝脏再生的作用[23]。 ⑧延缓衰老及抗氧化作用 绞股蓝水提物的0.5,1.0%混于培养基中饲养果蝇,可延长果蝇的平均寿命,并能促进果蝇幼虫的生长发育[24]。 用d-半乳糖造成小鼠亚急性衰老模型,绞股蓝浸膏15mg/只ig,连续40d,可对抗衰老小鼠学习主动逃避反应能力的下降,对脑MAO-B活力异常升高及脑脂褐质的增加等也均有对抗作用[25]。绞股蓝浸膏0.5,1%溶液给家蝇饮用,可延长家蝇寿命,并使脑内超氧化物岐化酶(SOD)活性提高,丙二醛(MDA)含量降低[26]。 绞股蓝总皂甙50mg/L浓度,对黄嘌呤-黄嘌呤氧化酶诱发的豚鼠心乳头状肌氧自由基损伤,可逆转其所致的乳头状肌不应期、兴奋性与自律性的改变,心肌组织中丙二醛含量下降,提示绞股蓝总皂甙对豚鼠心肌的氧化损伤有保护作用[27]。绞股蓝总皂甙25~100μg/ml浓度,可保护兔胸主动脉环免受电解性自由基损伤,并呈剂量依赖性,100μg/ml浓度,可对抗电解性自由基所致兔基底动脉收缩的作用[28]。 绞股蓝总皂甙15.6~500mg/L,对大鼠肝微粒体MDA形成(包括自发性、Fe2+-半胱氨酸、维生素C-NADPH及CCl4诱发的大鼠肝微粒体脂质过氧化)有抑制作用。2.5~160mg/L对Fe2+-半胱氨酸诱发的大鼠肝微粒体膜及线粒体膜流动性损伤有保护作用[29]。绞股蓝煎剂混于饲料中(0.1g/2.5g饲料),喂饲5mo龄小鼠4mo,可明显提高小鼠自发活动及游泳耐力,用药组小鼠存活率也大于对照组[30]。绞股蓝提取物100,200mg/kg ig,连续2mo,可预防老年大鼠的空腹低血糖,对ig葡萄糖(2g/kg)时,又有改善老年大鼠血糖耐量的作用[31]。 ⑨抗疲劳、耐缺氧、抗高温作用 绞股蓝总皂甙200mg/kg ig,使小鼠游泳活力增强[32]。 绞股蓝提取物200mg/kg ig,连续14d,大鼠游泳1~2h,可保持有较高的血糖水平,并减少肌糖原的耗损[33]。绞股蓝浸膏450mg/kg ig,可加强小鼠耐缺氧、抗疲劳(小鼠游泳法)、抗高温(42±0.5℃)的能力[1]。绞股蓝总皂甙50mg/kg ig,连续3d,可延长小鼠持续游泳时间,50,400mg/kg ig,可增强小鼠耐缺氧能力[17]。绞股蓝总皂甙75,100mg/kg ig,可延长小鼠游泳和爬杆时间,100,200mg/kg ip增强小鼠缺氧能力[18]。 ⑩抗糖皮质激素类副作用 绞股蓝总皂甙10 mg/kg ip,连续10d,可对抗地塞米松引起的大鼠肾上腺和胸腺的萎缩[34]。 绞股蓝总皂甙20,350mg/kg ig,连续6d,对抗地塞米松引起的小鼠肾上腺萎缩及肾上腺皮质功能低下[35]。 绞股蓝皂甙10mg/kg ip,连续10d,对抗地塞米松引起的大鼠肾上腺及胸腺的萎缩以及血浆皮质醇含量的下降[36]。 ⑾其它作用 绞股蓝总皂甙20,40mg/kg ip有对抗利多卡因毒性的作用,降低小鼠死亡率[37]。绞股蓝总皂甙20,40mg/kg ip,可促进小鼠幼鼠生长,体重较对照组明显增加[38]。此外,尚有抗溃疡作用[39]。 ⑿药代动力学研究 绞股蓝皂甙300mg/kg im,按0.25,0.5,1.0,1.5,2.0,3.0,4.0,6.0,10.0,24h取血测定,其动力学特征依非线性二房室模型,主要动力学参数t1/2ka=0.289h,t1/2ke=16.44h,Tp=1.878h,Cmax=163.598μg/ml,AUC=0.4170±0.4mg/

L·h;300mg/kg im大鼠给药1h后,体内分布以肾上腺、脑、心、肝、脾、肺等为多[40]。绞股蓝总皂甙300mg/kg im,兔血药浓度出现双峰现象(1.8,6.0h)通过胆汁引流实验,发现兔血药浓度第2峰消失,Tp=1.112h,24h引流胆汁药物排泄总量占总给药量的2.03%。6h引流胆汁药物排泄总量占24h引流胆汁药物排泄总量的74.32%,从而证明胆道排泄是绞股蓝皂甙体内排泄途径之一,进一步通过胆汁交叉灌流实验,发现给药狗(300mg/kg im)血药浓度第2峰消失,Tp=1.415h非给药暨受胆汁狗血中绞股蓝皂甙峰时为Tp=1.415h,给药狗药一时曲线下峰面积与受胆汁狗药-时曲线下峰面积之比为1.135,表明绞股蓝皂甙体内双峰现象主要由肠肝循环引起[41]

毒性 绞股蓝浸膏ig对小鼠的LD50为4500mg/kg[1],绞股蓝水提物ip对小鼠的LD50为2862.5±338.0mg/kg[18],绞股蓝总皂甙ip对小鼠的LD50为402±18.2mg/kg[37],800.3±37.65mg/kg[33],755mg/kg[42]

参考文献 [1] 中草药 1990;21(7):25 [2] 中国药理学通报 1988;4(6):358 [3] 中国药理学通报 1988;4(2):121 [4] 中国药理学报 1990;11(5):427 [5]中国药理学与毒理学杂志 1990;4(1):17 [6] 中国中药杂志 1991;16(1):53 [7] 中国中药杂志 1990;25(7):398 [8] 中国药理学与毒理学杂志 1992;6(3):204 [9] 中国药理学通报 1989;5(4):213 [10] 中药药理与临床 1991;7(2):39 [11] Chem Pharm Bull 1985;33(12):5568 [12] 中草药 1989;20(4):28 [13] 生药学杂志 1983;37(3):272 [14] 中国药理学与毒理学杂志 1986;1(1):53 [15] 中西医结合杂志 1990;10(2):96 [16] 中药药理与临床 1992;8(1):26 [17] 中成药 1989;11(8):27 [18] 中成药 1989;11(1):31 [19]中国药理学与毒理学杂志 1992;6(4):254 [20] 中药药理与临床 1993;9(5):17 [21] CA 1985;103:172061g [22] 中西医结合杂志 1988;8(5):286 [23] 现代应用药学 1989;6(3):5 [24] 中国药理学通报 1987;3(6):340 [25] 中成药 1989;11(5):29 [26] 中药药理与临床 1990;6(4):17 [27] 中国药理学通报 1993;9(4):287 [28] 中药药理与临床 1993;9(3):20 [29] 中国药理学通报 1991;7(5):341 [30] 中成药研究 1988;(3):25 [31] 老年学杂志 1989;9(1):36 [32] CA 1985;103:172069r [33] 中国药学杂志 1989;24(9):550 [34] CA 1985;103:172068q [35] 中国医药学报 1990;5(5):37 [36] 西北药学杂志 1987;2(2):13 [37] 西北药学杂志 1988;3(1):16 [38] 浙江应用药学 1987;4(1):15 [39] CA 1984;100:206696y [40] 中药药理与临床 1991;7(1):16 [41] 中药药理与临床 1993;9(1):19 [42] 药学通报 1988;23(10):720

【药性】:

性味 苦,寒。

功效 消炎解毒,止咳祛痰。

主治 慢性气管炎。

用法用量 研末内服,每次2~3g,每日3次,10天为1疗程。

【临床应用】:

方选和验方 《癌的扶正固本治疗》:“治前列腺癌:绞股蓝、海金沙、猪苓、丹参、太子参各15g,莪术、白术、茯苓各12g,麦冬10g,白毛藤20g,沙参10g,西洋参6g,甘草3g水煎服。”

单方应用 ①(中草药通讯1972:(2)):“治慢性气管炎:取七叶胆(全草)研粉,制成片剂或装胶囊,每次2.5~3g,日服3次,10日为1疗程。” ②《全国中草药汇编》:“治慢性气管炎、传染性肝炎、肾盂炎,胃肠炎:七叶胆研粉,每服1g。”

【医药家论述】:

潘明继《爱滋病的中医防治》:“绞股蓝扶正养阴,补气益血,消癥化结,镇咳祛痰作用,能抗癌,降血脂,降血糖,抗过敏,抗风湿,抗溃疡,镇静,安眠,并能提高机体免疫功能,适应多种虚证及免疫功能低下的疾病,对爱滋病出现全身乏力,精神不振,失眠烦躁、合并呼吸道感染或卡波西肉瘤有治疗作用。”

随便看

 

离鸟网收录3541549条中英文词条,其功能与新华字典、现代汉语词典、牛津高阶英汉词典等各类中英文词典类似,基本涵盖了全部常用中英文字词句的读音、释义及用法,是语言学习和写作的有利工具。

 

Copyright © 2004-2024 vtrois.com All Rights Reserved
更新时间:2026/4/7 21:46:21