企业为了指导用户正确使用产品,延长产品使用效能,不中断用户的使用和消费,必须根据产品的复杂程度,设置维修服务网点,进行销后服务。但是,企业每设置一个维修服务点都要支付该点的人员工资、设备、仪器、材料、配件等费用。企业应设多少个维修服务点,就要进行经济性分析。
设销售收入S与维修服务点n存在函数关系如下式:
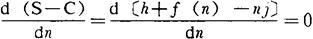
S=h+f(n) h——为不设维修服务点的销售收入
由图13-9可知,销售收入S等于维修服务点费用C时,交点O对应的维修服务点n2为最多服务点数。要使维修服务点所产生的经济效益最大,可对S-C关于n求导,并使其为零,则有:

图13-9 维修服务点设置图

nj——n个维修服务点的费用
通过求解上式便可得到最佳维修服务点数n1。