网站首页  词典首页


请输入您要查询的字词:

 

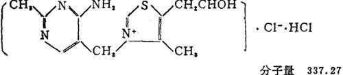
字词 维生素B1
类别 中英文字词句释义及详细解析
释义

维生素B1


别名 盐酸硫胺、硫胺素

结构式

性能 白色结晶或结晶性粉末,有微弱臭味,味稍苦。干燥品在空气中迅速吸收水分。易溶于水,略溶于乙醇,不溶于乙醚或苯。熔点245~250℃。在糖代谢中发挥重要作用。缺乏维生素B1时能量供应障碍,可使四肢无力,神经肌肉酸痛和萎缩。

用途 用于化妆品中,能防治脂溢性皮炎、湿疹,增进皮肤健康。

包装贮运 应避光密闭保存。

国内生产厂 北京制药厂、天津中津制药厂、上海第一制药厂、东北制药总厂、浙江杭州第一制药厂。

随便看

 

离鸟网收录3541549条中英文词条,其功能与新华字典、现代汉语词典、牛津高阶英汉词典等各类中英文词典类似,基本涵盖了全部常用中英文字词句的读音、释义及用法,是语言学习和写作的有利工具。

 

Copyright © 2004-2024 vtrois.com All Rights Reserved
更新时间:2026/4/7 20:37:35