网站首页  词典首页


请输入您要查询的字词:

 

字词 维生素B6的测定方法
类别 中英文字词句释义及详细解析
释义

维生素B6的测定方法


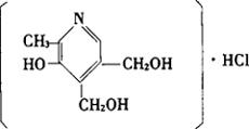
化学名:6-甲基5-羟基-3,4-吡啶二甲醇盐酸盐(5-hydroxy-6-methyl-3,4-pyridine dimethanol hydrochloride)

结构式:

分子式:C8H11NO3·HCl

相对分子质量:205.64

一、维生素B6的鉴别

1.试剂和溶液

1.1 乙酸钠溶液 200g/L溶液。

1.2 硼酸(GB628)溶液 40g/L溶液。

1.3 氯亚胺基-2,6-二氯醌溶液 5g/L乙醇溶液。

1.4 盐酸溶液 取盐酸9mL,加水稀释至1000mL。

2.操作步骤

2.1 取样品约10mg,加水100mL溶解后,各取1mL,分别置A、B两个试管中,各加20%乙酸钠溶液2mL,A管中加水1mL,B管中加4%硼酸溶液1mL,混匀,各迅速加氯亚胺基-2,6-二氯醌溶液1mL,A管中显蓝色,几分钟后即消失,并转变为红色,B管中不显蓝色。

2.2 取样品加盐酸溶液制成每1mL中含10μg溶液,按照《中华入民共和国药典》1990年版二部附录第24页分光光度法测定,在波长291nm处有最大吸收峰,其吸光度约为0.43。

2.3 本品的水溶液显氯化物的鉴别反应。

二、维生素B6的含量测定

1.试剂和溶液

1.1 冰乙酸。

1.2 乙酸汞溶液 取乙酸汞5g,研细,加温热的冰乙酸使溶解成100mL。

1.3 结晶紫指示液 50g/L冰乙酸溶液。

1.4 高氯酸标准滴定液 0.1mol/LHClO4溶液。

2.测定方法

取样品0.15g(准确至0.0002g),加冰乙酸20mL与乙酸汞溶液5mL,温热溶解后,放冷,加结晶紫指示液1滴,用高氯酸标准滴定溶液(0.1mol/L)滴定,至溶液显蓝绿色,并将滴定结果用空白试验校正。

3.分析结果的表述

式中 w——维生素B6(以C8H11NO3·HCl)含量,%

V——样品溶液消耗高氯酸标准滴定溶液的体积,mL

V0——空白试验消耗高氯酸标准滴定溶液的体积,mL

c——高氯酸标准滴定溶液浓度,mol/L

m1——样品质量,g

0.2056——与1.00mL高氯酸标准滴定溶液〔c(HClO4)=1.000mol/L〕相当的维生素B6(C8H11NO3)的质量,g

三、维生素B6的测定方法

(一)荧光法

1.原理

样品经硫酸高温消化后,可除去蛋白质等物质,结合态的维生素B6转为游离态。经CGS树脂柱层析,除去杂质,用不同pH缓冲液洗脱维生素B6的三种不同结构的混合物(吡哆醇PN、吡哆胺PM和吡哆醛PL)洗脱液中加钾明矾,钾明矾乙醛酸钠和二氧化锰一次转化为吡哆醛,最后加氰化钾,转化为吡哆醛氰醇进行荧光测定。

2.试剂和溶液

2.1 0.44mol/L及0.055mol/L(1/2H2SO4)溶液。

2.2 6mol/L(1/2H2SO4)溶液。

2.3 6mol/L KOH溶液。

2.4 2mol/LCH3COOK溶液(pH4.0) 以乙酸调2mol/LCH3COOK溶液至pH4。

2.5 CGS树脂处理 取250gCGS树脂,置750mL3mol/LHCl溶液中,室温下搅拌30min,静置过夜,弃上清液,加6mol/LKOH溶液500mL,室温搅拌30min。静置分层后,弃上清液,水洗至中性,弃上清液加750mL3mol/LHCl溶液于沸水浴搅拌30min,弃上清液,再重复以盐酸处理2次,水洗至中性,加500ml6mol/LKOH溶液,室温搅拌60min,水洗至中性,贮于pH4的2mol/L乙酸钾溶液中,备用。

2.6 维生素B6标准液。

2.6.1 盐酸吡哆醛:10μg/mL以0.44mol/L(1/2H2SO4)定容。

2.6.2 盐酸吡哆醇:10μg/mL以0.44mol/L(1/2H2SO4)定容。

2.6.3 盐酸吡哆胺:10μg/mL以0.44mol/L(1/2H2SO4)定容。

2.7 0.01mol/LCH3COONa(pH4.0)缓冲液 称取1.36g乙酸钠(CH3COONa·3H2O)以水溶解,并定容至1L,用乙酸调pH至4.0。

2.8 0.02mol/L乙酸钠(pH5.0)缓冲液 称2.72g乙酸钠(CH3COONa·3H2O)以水溶解,并定容至1L,用乙酸调pH至5.0。

2.9 1.5mol/LKOH(pH8.0)-0.1mol/LK2HPO4缓冲液 称取112g氯化钾及22.8g磷酸氢二钾(K2HPO4·3H20)以水溶解并定容至1L,乙酸调pH至8.0。

2.10 0.02mol/L CH3COONa(pH5.5)缓冲液 称取2.72g乙酸钠(CH3COONa·3H2O)以水溶解,并定容至1L,乙酸调pH至5.5。

2.11 0.05mol/LCH3COONa溶液。

2.12 二氧化锰催化剂 用高锰酸钾、硫酸锰反应,新鲜制备。

2.13 0.1mol/LEDTA二钠。

2.14 1mol/LKCN溶液。

2.15 硫酸奎宁 每毫升0.1mol/L(1/2H2SO4)中含0.6μg。

2.16 1mol/LK2HPO4溶液。

2.17 5mol/L钾明矾〔KAl(SO4)2〕溶液。

3.仪器

3.1 层析柱 1×30cm具塞具砂芯滤板玻璃层析柱。

3.2 酸度计。

3.3 高压蒸汽消毒器。

3.4 水浴恒温振荡器。

3.5 荧光分光光度计。

4.测定方法

整个操作过程在弱灯光下进行。

4.1 水解 样品经粉碎研细后精确称取约1g(含维生素B6约2~15μg)以0.44mol/L(1/2H2SO4)移入150mL三角瓶,同时精确吸取PL,PN,PM标准液各0.8mL入另一150mL三角瓶,各加90mL0.44mol/L(1/2H2SO4),摇匀,在高压蒸汽消毒器中,于121℃水解2h〔动物样品用0.055mol/L(1/2H2SO4)水解5h〕,然后取出冷却用6mol/LKOH溶液中和至pH4.0,定容至100mL,过滤,清液备用。

4.2 层析 取处理后的CGS树脂,摇匀,湿装柱,每支装9cm高,最上层加1cm厚处理后的玻璃毛,用200mL70~80℃去离子水洗柱,滴速5mL/min。随后,立即用80mL70~80℃0.01mol/LCH3COONa(pH4.0)缓冲液洗柱,滴速不变,待柱冷至室温即可进柱。精确吸10~50mL备用样液(含维生素B61~7.5μg)进样,滴速0.25mL/min,用3×3mLpH4.00.01mol/LCH3COONa缓冲液洗容器并入柱,然后用pH5.0,0.02mol/LCH3COONa缓冲液50mL洗脱,滴速0.6mL/min,最后以70~80℃pH8.0,0.1mol/LK2HPO4缓冲液洗脱,滴速0.6mL/min,收集约48mL于50mL容量瓶,用6mol/LHCl溶液调pH至5.0,定容至刻度,同时吸25mL标准维生素B6水解液进行层析,方法同上。

4.3 转化 分别用刻度吸管精确吸18mL样品层析液和标准维生素B6层析液于50mL三角瓶中,各加入pH5.50.02mol/LCH3COONa缓冲液2mL,5mol/L钾明矾液0.25mL,0.05mol/LCH3COONa溶液0.7mL,40mg二氧化锰,将三角瓶置于100℃恒温水浴振荡器中,振荡频率100次/min,维持30min,取出冷却,过滤至25mL比色管,以2×1.5mL1mol/LK2HPO4溶液洗小漏斗,入比色管,加0.3mL0.1mol/LEDTA二钠,定容至25mL。

4.4 衍生 自25mL比色管(样液和标准液)分别吸取2×9mL至4只×10mL比色管中为各自的对照管和反应管,各加0.2mL1mol/LKCN溶液,并用6mol/LHCl溶液或KOH溶液调至pH7.2~7.4,于50℃恒温水浴中反应90min,取出冷却,滴加6mol/LKOH溶液调pH至9.5,加水稀释至10mL,摇匀,静置30min。

4.5 测定 激发波长355nm,发射波长434nm,分别依次取标准维生素B6或样液的对照管和反应管测荧光强度。

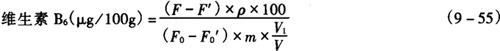
5.分析结果的表述

式中 F——样品反应管荧光强度

F′——样品对照管荧光强度

F0——标准维生素B6,反应管荧光强度

F0′——标准维生素B6,对照管荧光强度

ρ——标准维生素B6,在50mL层析收集液中维生素B6量,μg/mL

m——样品质量,g

V——样品水解后定容体积(100mL)

V1——进层析柱样品液体积,mL

(二)微生物法

1.原理

维生素B6广泛存在于动植物体内,它们多与蛋白质结合成高分子化合物,用稀盐酸在121℃作用5h,使之游离出来,接种葡萄汁酵母培养液,利用此菌种与维生素B6的专一性,经保温培养后,测定其透光度与标准液对照,计算含量。

2.试剂和溶液

2.1 肌醇。

2.2 肌醇溶液 100mg肌醇中加水溶解成100mL。

2.3 95%乙醇 特级。

2.4 氯化钾 特级。

2.5 氯化钙 特级。

2.6氯化铁 特级。

2.7 盐类溶液 取2.2g磷酸氢钾、1.7g氯化钠、0.5g氯化钙、0.5g硫酸镁、0.01g硫酸锰及0.01g氯化铁,加水溶解成1000mL,加3滴甲苯保存。

2.8 酪蛋白,应预先检查不含吡哆醇。

2.9 酪蛋白分解液 将酪蛋白用乙醇洗2次,加5倍量的(1→2)盐酸溶液,连接回流冷疑管,加热8~12h。此操作也可在高压灭菌器中121~123℃加热8~12h。然后在减压条件下浓缩成糊状,再加水200mL,用同样方法浓缩。残渣用水溶解,用(1→10)氢氧化钠调节pH至3.5(±0.1),加水成1000mL。加入20g活性炭,搅拌后过滤,反复操作至滤液呈淡黄色至无色为止。加少量甲苯,放冰箱中保存,如产生沉淀则过滤。

2.10 琼脂。

2.11 柠檬酸 特级。

2.12 柠檬酸钠 特级。

2.13 柠檬酸缓冲液 10g柠檬酸钠和2g柠檬酸加水溶解成100mL。

2.14 酵母浸膏。

2.15 酵母琼脂斜面培养基 取20g琼脂、3g酵母浸膏、3g麦芽浸膏、5g蛋白胨及10g葡萄糖,加水溶解,必要时调节pH为5.0~5.2,再加水成1000mL,分注于预先塞好棉栓经干热灭菌的试管中各10mL,在121℃高压灭菌5min,灭菌后立即冷却(成斜面),于冷处保存。

2.16 生理盐水。

2.17 硫胺盐酸盐。

2.18 烟酸。

2.19 烟酸溶液 100g烟酸加水溶解成100mL。

2.20 麦芽浸膏。

2.21 泛酸钙。

2.22 泛酸钙溶液 20mg泛酸钙加水溶解成100mL。

2.23 生物素 维生素H。

2.24 生物素溶液 25g生物素加水溶解成1000mL。取此溶液40mL,再加水稀释成1000mL。

2.25 维生素B1溶液 10g维生素B1加水溶解成1000mL。

2.26 葡萄糖。

2.27 蛋白胨。

2.28 硫酸镁 特级。

2.29 硫酸锰 特级。

2.30 磷酸二氢钾 特级。

2.31 标准液的制备 准确称取10mg吡哆醇盐酸盐,加1mol/LHCl溶液溶解成1000mL。取此液5mL加水定容至100mL,临用时吸取此溶液2mL,加水至100mL作为标准液(10ng/mL吡哆醇盐酸盐)。

3.仪器

分光光度计。

4.测定方法

4.1 样品溶液的制备 准确称取相当于吡哆醇盐酸盐5μg的样品5g以下,加入180mL0.055mol/LHCl溶液,在121℃高压灭菌器中加热4h溶解,冷却后用1mol/LNaOH溶液调节pH为4.5~5.0,沉淀过滤,用水冲洗沉淀物,洗液与滤液合并,用1mol/LNaOH溶液调节pH5.0~5.2,加水至250mL,准确吸取此液10mL,加水定容至50mL,作为样品溶液。

4.2 定量用培养基的制备 取10mL酪蛋白分解液,5mL维生素B1溶液,5mL肌醇溶液,2mL维生素H溶液,2.5mL泛酸钠溶液,0.5mL烟酸溶液,50mL盐类溶液及10mL柠檬酸缓冲溶液混合,并加入10g葡萄糖溶解,用1mol/LNaOH溶液调节pH5.0~5.2,再加水成1000mL,必要时过滤,此液作为定量用培养基。

4.3 接种菌液的制备 以Saccharomyces carlsbergensis 4228(ATCC 9080)作为使用菌株。将纯培养菌株接种在酵母琼脂斜面培养基上,于30℃培养16~24h,放冷处保存,作为保存菌株,此菌株每两周重新制备1次。取保存菌株菌体,加入灭菌生理盐水,用分光光度计在波长600nm处测定,用灭菌生理盐水稀释使透光率为80%~85%,作为接种菌液。

4.4 测定 分别吸取样品溶液0.5mL、1.0mL、2.0mL各2份,加入两系列比色管T(0.5~2.0)、T′(0.5~2.0)中,再向试管中加2.5mL定量用培养基,加水准确成5mL,充分混合。

塞好棉塞,于121℃高压灭菌5min。冷却后,在无菌操作条件下各管接种一滴接种菌液,于30℃振荡培养20~24h,培养后立即把全部试管在121℃下灭菌5min,作为样品测定液。

将样品测定液倒入比色杯中,以水为参比在波长600nm处测定吸光度AT(0.5~2.0)、A′T(0.5~2.0)。

4.5 标准曲线 准确吸取标准液0.0,0.1mL,0.2mL,0.3mL,0.4mL,0.5mL,0.7mL,1.0mL,1.5mL各两份,分别加到两系列试管S(0~1.5)、S′(0~1.5)中,按4.4测定的同样操作进行,根据标准液的吸光度求出As0和As0,A′s0和A′s0.1……A′s1.5和A′s1.5的各平均值,以浓度为横坐标,以吸光度为纵坐标,绘制标准曲线,但如某种标准液的吸光度在整个标准曲线上偏离10%以上时,此吸光度数值应舍弃。

4.6 定量 根据样品测定液〔样品定液0.5mL、1.0mL、2.0mL,细菌的增殖与浓度成比例。但与标准曲线相比,斜率不同时(±10%以上),则需重新制备样品测定液〕所测得的吸光度,在标准曲线上求出AT0.5、A′T0.5、AT1.0、A′T1.0、AT1.5、A′T1.56个试管中的吡哆醇盐酸盐含量,再换算成每毫升含量(ng/mL),其平均值为ρ。

但各含量值(ng/mL)与平均值ρ之差超过±10%以上时,此值从计算中舍去。如舍去值在3个以上时,需重做。按式(9—56)计算出样品中吡哆醇盐酸盐的含量(μg/100g)。

式中 m——取样量,g

ρ——样品溶液中每毫升含吡哆醇盐酸盐量,ng/mL

随便看

 

离鸟网收录3541549条中英文词条,其功能与新华字典、现代汉语词典、牛津高阶英汉词典等各类中英文词典类似,基本涵盖了全部常用中英文字词句的读音、释义及用法,是语言学习和写作的有利工具。

 

Copyright © 2004-2024 vtrois.com All Rights Reserved
更新时间:2026/4/8 1:59:28