网站首页  词典首页


请输入您要查询的字词:

 

字词 维生素D2(麦角钙化醇)
类别 中英文字词句释义及详细解析
释义

维生素D2(麦角钙化醇)


编码 GB 16.000

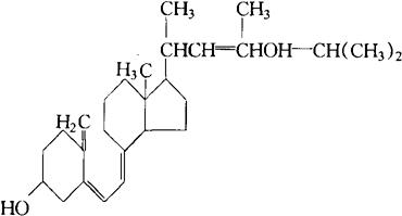
化学结构

C28H44O 相对分子质量 396.66

性状 无色针状结晶或白色结晶性粉末,无臭,无味,不溶于水,略溶于植物油,易溶于乙醇、乙醚、丙酮,极易溶于氯仿。熔点115~119℃。在波长265nm处有一条显着的吸收谱。在空气中易氧化,对光不稳定,对热相当稳定,溶于植物油时亦相当稳定,但有无机盐存在时则迅速分解。

制法 由麦角固醇经紫外线照射转化制得。

质量标准

鉴别方法 取本品约0.5mg,溶于5mL氯仿中,加乙酸酐0.3mL和硫酸0.1mL,振摇,呈现黄色,后渐变红色,再迅速变为紫色,最后呈绿色。

毒理学依据

1.LD50 豚鼠口服40mg/kg(bw)。

小鼠口服1mg/kg(bw)。

大鼠、狗、猫口服5mg/kg(bw)。

2.GRAS FDA-21CFR 182.5950;166.110;182.5953;184.1950。

若大量连续摄食本品,如成人长期每日摄食1×105IU,儿童长期每日摄食4×104IU,可造成过剩症,引起食欲不振、呕吐、腹泻、高血钙,甚至导致软组织(如肺、肾)慢性钙化。

使用 维生素强化剂。

1.使用注意事项

(1)本品促进小肠对钙、磷的吸收,保持血中钙、磷的正常比例,使钙变成磷酸钙等向骨骼和组织中沉积。本品摄入不足,则导致佝偻病、骨质软化病,特别是幼儿发育不良或畸形的原因。维生素D的活性以D3(胆钙化醇)为参考标准。1μg胆钙化醇等于40IU维生素D。亦即1IU维生素D等于0.025μg胆钙化醇。我国推荐维生素D的日供给量,成人与儿童为10μg。

(2)在食品中通常与维生素A合用,即使用含有这两者的鱼肝油或其浓缩物。

2.使用范围及使用量 我国《食品营养强化剂使用卫生标准》(GB 14880-94)规定:用于乳及乳饮料,使用量10~40μg/kg;人造奶油,125~156μg/kg;乳制品,63~125μg/kg;婴幼儿食品,50~100μg/kg。另按我国《食品添加剂使用卫生标准》(GB 2760-1996)规定:尚可用于固体饮料、冰淇淋,使用量10~20μg/kg。

随便看

 

离鸟网收录3541549条中英文词条,其功能与新华字典、现代汉语词典、牛津高阶英汉词典等各类中英文词典类似,基本涵盖了全部常用中英文字词句的读音、释义及用法,是语言学习和写作的有利工具。

 

Copyright © 2004-2024 vtrois.com All Rights Reserved
更新时间:2026/4/8 2:05:39