网站首页  词典首页


请输入您要查询的字词:

 

字词 维生素D3(胆钙化醇)
类别 中英文字词句释义及详细解析
释义

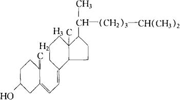
维生素D3(胆钙化醇)


编码 GB 16.000

化学结构

C27H44O 相对分子质量 384.65

性状 无色针状结晶或白色结晶性粉末,无臭,无味。不溶于水,略溶于植物油,极易溶于乙醇、氯仿或丙酮,熔点84~85℃。对空气和日光不稳定,对热相当稳定。本品比维生素D2稳定。

制法 由7-脱氢胆固醇经紫外线照射转化制得。

质量标准

鉴别方法 参见维生素D2

毒理学依据

1.LD50 大鼠口服42mg/kg(bw)。

2.GRAS FDA-21CFR 166.110;182.5953;184.1950。

使用 同维生素D2,但维生素D3的效力比维生素D2稍大。

随便看

 

离鸟网收录3541549条中英文词条,其功能与新华字典、现代汉语词典、牛津高阶英汉词典等各类中英文词典类似,基本涵盖了全部常用中英文字词句的读音、释义及用法,是语言学习和写作的有利工具。

 

Copyright © 2004-2024 vtrois.com All Rights Reserved
更新时间:2026/4/7 0:05:53