网站首页  词典首页


请输入您要查询的字词:

 

字词 维生素D的测定方法
类别 中英文字词句释义及详细解析
释义

维生素D的测定方法


一、维生素D2

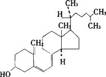
化学名:9,10-开环麦角甾-5,7,10(19),22-四烯-3β-醇(9,10-secoergosta-5,7,10(19),22-tetraen-3β-al)

又名:麦角钙化醇;维生素D2

结构式:

分子式:C28H44O

相对分子质量:396.66

(一)维生素D2的鉴别

1.试剂和溶液

1.1 三氯甲烷。

1.2 乙酸酐。

1.3 硫酸。

2.鉴别方法

取本品约0.5mg,加三氯甲烷5mL溶解后,加乙酸酐0.3mL与硫酸0.tmL振摇,初显黄色,后渐变红色迅速变为紫色,最后成绿色。

(二)维生素D2含量测定

1.试剂和溶液

1.1 色谱纯试剂 正戊醇、正己烷、异辛烷。

1.2 2,6-二叔丁基对甲酚。

1.3 内标试剂 邻苯二甲酸二甲酯。

1.4 标准品 维生素D标准品,由卫生部颁发。

2.仪器

高压液相色谱仪。

3.测定方法

3.1 对照品贮备液的制备 称取维生素D2对照品25mg(准确至0.0002mg),置于100mL棕色量瓶中,加异辛烷80mL,避免加热,用超声处理助溶1min使完全溶解,加异辛烷至刻度,摇匀,充氮密塞,避光,0℃以下保存。

3.2 内标溶液的制备 精密取邻苯二甲酸二甲酯25mg,置25mL棕色量瓶中,加正己烷至刻度,摇匀。

3.3 样品溶液的制备 精密取供试品25mg,置100mL棕色量瓶中,加异辛烷80mL,避免加热,超声处理助溶1min使完全溶解,加异辛烷至刻度,摇匀。精密量取上述溶液与内标液各5mL,置50mL棕色量瓶中,加正己烷至刻度,摇匀,作为供试品溶液。

3.4 系统适用性试验 用硅胶为填充剂,正己烷-正戊醇(994∶6)为流动相,检测波长为254nm,量取维生素D2对照品贮备液5mL,置具塞玻璃容器中,通氮后密塞,置90℃水浴中加热1h,取出迅速冷却后,加正己烷5mL,摇匀,置1cm具塞石英吸收池中,将石英吸收池斜放成45°,在主波长为254nm和365nm的紫外线照射5min,使溶液中含有前维生素D2、反式维生素D2。维生素D2和速甾醇D2。取此溶液注入液相色谱仪中,测定维生素D2峰值,先后进样5次,相对标准偏差应不大于2.0%,前维生素D2(与维生素D2的比保留时间约0.5)与反式维生素D2(与维生素D2的比保留时间约为0.6)以及维生素D2与速甾醇D2(与维生素D2的比保留时间约为1.1)的峰分离度均大于1.0。

3.5 校正因子的测定 精密取对照品贮备溶液和内标溶液各5mL,置50mL棕色量瓶中,加正己烷至刻度,摇匀;取一定量注入液相色谱仪,计算维生素D校正因子f1。精密取对照品贮备液5mL,置50mL棕色量瓶中,加入2,6-二叔丁基对甲酚结晶1粒,通氮排气后,密塞,置90℃水浴中加热1.5h,取出迅速冷却至室温,精密加内标溶液5mL,加正己烷至刻度,摇匀,取一定量注入色谱仪,计算校正因子。

f2=(4s×mr-f1×ms×Ar1)/(Ar2×ms) (9-42)

式中 f2——前维生素D2折算成维生素D2的校正因子

As——内标的峰面积

mr——加入对照品的量,g

f1——维生素D2的校正因子

ms——加入内标物质的量,g

Ar2——维生素D2的峰面积

Ar2——前维生素D2的峰面积

3.6 含量测定 按高效液相色谱法中的内标加校正因子测定法(《中华人民共和国药典》1990年版二部附录68页)测定,取样品溶液,注入液相色谱仪中,记录色谱图,测量峰面积。

4.分析结果的表述

x=(f1·Ai1+f2·Ai2)ms×100/(As·m) (9-43)

式中 x——维生素D2及前维生素D2折算成维生素D2的总含量,%

Ai1——维生素D2的峰面积

Ai1——前维生素D2的峰面积

m——加入内标物质的量,g

As——内标的峰面积

m——样品质量,g

f1——维生素D2的校正因子

f2——前维生素D2折算成维生素D2的校正因子

5.允许差

本方法平行测定的允许绝对差在1.5%之内。

二、维生素D3

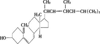
化学名:9,10-开环胆甾-5,7,10(19)-三烯-3β-醇。又名维生素D3,胆钙化醇结构式:

分子式:C27H44O

相对分子质量:384.65

(一)维生素D3的鉴别

见维生素D2

本品的红外吸收图谱应与对照的图谱(光谱集453图)一致。

(二)维生素D3含量测定

精密称取本品25mg,置100mL棕色量瓶中,加三甲基戊烷80mL,勿加热,超声助溶1min,全溶后加三甲基戊烷定容,摇匀,为供试液。接维生素D2测定。

三、食品中维生素D的测定

(一)高压液相色谱法

1.原理

测定食品中的脂溶性维生素时,先将样品皂化,由酯型转化为游离型,再进行测定。

2.试剂和溶液

2.1 乙醚 不含过氧化物,用重蒸馏的乙醚(去初馏液和尾馏液各10%)。

2.2 乙醇(95%,分析纯)。

2.3 甲醇(分析纯)。

2.4 无水硫酸钠。

2.5 50%氢氧化钾溶液。

2.6 焦性没食子酸。

2.7 维生素D标准(MERCK) 称取5.3mg标准品,用少量乙醇溶解后用甲醇定容至50mL,即为106μg/mL的标准液,再取1mL定容至25mL,即为4.24μg/mL的HPLC外标液。

3.仪器

3.1 高压液相色谱仪。

3.2 直型K-D浓缩器。

3.3 磁力加热搅拌器。

4.测定方法

4.1 皂化 取5~10g样品,加1g焦性没食子酸,50mL95%乙醇溶液,在磁力搅拌下使样品均匀溶解后加入30mL50%氢氧化钾溶液,在(50±2)℃下搅拌回流40min。

4.2 提取 取下回流液,冲凉后用50mL,30mL,20mL,20mL乙醚萃取,合并乙醚层,用水洗至中性,过无水硫酸钠,在50℃下浓缩至约5mL取下后,用甲醇定容至10mL,待测定。

4.3 测定 带紫外鉴定器的高压液相色谱仪,μ-Bon dapak C18(30cm×3.9mm)柱,流速0.8mL/min,流动相为甲醇,进样量20μL,在波长265nm下测定。

5.分析结果的表述

式中 S——标准峰面积

S′--样品峰面积

A——样品稀释倍数

ρ——标准浓度,μg/mL

(二)三氯化锑比色法

1.原理

维生素D与三氯化锑在三氯甲烷中产生橙黄色,并在波长500nm下有一个最大吸收度。显色的强度与维生素D含量成正比,可以比色定量。加入乙酰氯可以消除温度、湿度等于扰因素。维生素D与维生素A共存时,须先用柱层析分离,去除维生素A,再比色测定。

2.试剂和溶液

2.1 三氯化锑。

2.2 氯仿。

2.3 三氯化锑-氯仿溶液 取一定量的重结晶三氯化锑,加入其重量5倍体积的氯仿,振摇。

2.4 三氯化锑-氯仿-乙酰氯溶液 取上述三氯化锑-氯仿溶液,加入其体积3%的乙酰氯,摇匀。

2.5 乙醚。

2.6 乙醇。

2.7 石油醚(沸程30~60℃)。

2.8 维生素D标准溶液 称取0.25g骨化醇,用氯仿稀释至100mL(100000IU/mL维生素D2)。临用时,用氯仿配制成1-100IU/mL的标准使用液。

2.9 聚乙二醇(PEG)600。

2.10 白色硅藻土Celite545。

2.11 氨水。

2.12 无水硫酸钠。

2.13 0.5mol/LKOH溶液。

2.14 氧化铝(中性,层析用)。

3.仪器

3.1 分光光度计。

3.2 层析柱 内径22mm,具活塞,砂芯板。

4.测定方法

4.1 样品处理 同维生素A三氯化锑法。

4.2 皂化和提取 同维生素A的三氯化锑法。

4.3 纯化 当维生素D与维生素A共存时,必须进行纯化步骤,分离维生素A。若无维生素A等干扰物存在,可省去此步骤而直接测定。

4.3.1 分离柱的制备:称取15g Celite 545,移入250mL碘价瓶中,加入80mL石油醚,振摇2min,再加入10mL聚乙二醇(PEG)600,激烈振摇10min,使其粘合均匀。装柱顺序为1g无水硫酸钠、粘合物、5g中性氧化铝及少许无水硫酸钠。轻轻转动层析柱,使柱内的粘合物高度保持12cm左右。

4.3.2 纯化:柱装填后先用30mL左右的石油醚进行淋洗,然后将上述提取样液倒入柱内,再用石油醚继续淋洗,弃去最初收集的10mL,再用200mL容量瓶收集淋洗液至刻度。淋洗液流速为2~3mL/min。

将淋洗液放入250mL分液漏斗中,加入过量的水重复振摇1次,弃去水层(水洗去除残留的聚乙二醇,如果它存在,会与三氯化锑形成混浊,影响测定)。

将上述石油醚层通过无水硫酸钠脱水,移入三角烧瓶或脂肪瓶中,在水浴上浓缩至约5mL。在水浴上减压至恰干,立即加入5mL氯仿于10mL具塞量筒内,摇匀,待测定用。

4.4 测定。

4.4.1 标准曲线的绘制:分别吸取维生素D标准工作液(浓度按样品中维生素D含量高低而定)0.0,1.0mL,2.0mL,3.0mL,4.0mL,5.0mL于10mL容量瓶中,用氯仿定容,摇匀。

分别吸取上述标准溶液各1mL于1cm比色皿中,置于分光光度计比色槽内,立即加入三氯化锑-氯仿-乙酰氯溶液3mL,在波长500nm下,在2min内进行比色测定,根据测得的各标准溶液的吸光度,绘制标准曲线。

4.4.2 样品测定:吸取纯化的样品溶液1mL于1cm比色皿中,以下操作同4.4.1。根据测定样品溶液的吸光度,从标准曲线上查出其相应的含量。

5.分析结果的表述

式中 ρ——从标准曲线上查得维生素D浓度,IU/mL

V1——定容体积,mL

V2——测定时取样液的量,mL

m——样品质量

随便看

 

离鸟网收录3541549条中英文词条,其功能与新华字典、现代汉语词典、牛津高阶英汉词典等各类中英文词典类似,基本涵盖了全部常用中英文字词句的读音、释义及用法,是语言学习和写作的有利工具。

 

Copyright © 2004-2024 vtrois.com All Rights Reserved
更新时间:2026/4/7 20:16:37