网站首页  词典首页


请输入您要查询的字词:

 

字词 维生素E的测定方法
类别 中英文字词句释义及详细解析
释义

维生素E的测定方法


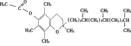
一、DL-α-生育酚

化学名:维生素E(DL-α-生育酚)〔Vitamin E(DL-α-Tocopherol)〕

别名:DL-α-维生素E

结构式:

分子式:C29H50O2

相对分子质量:430.71

DL-α-生育酚鉴别方法

取本品30mg,加无水乙醇10mL溶解,加硝酸2mL,在75℃左右加热15min,溶液呈红至橙色。

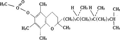
二、D-α-乙酸生育酚

化学名:维生素E(D-α-乙酸生育酚)〔Vitamin E(D-α-Tocopheryl Acetate)〕

别名:D-α-生育酚乙酸酯

结构式:

分子式:C31H52O3

相对分子质量:472.75

D-α-乙酸生育酚鉴别

1.试剂和溶液

1.1 无水乙醇 95%乙醇。

1.2 硝酸。

1.3 氢氧化钾乙醇液(0.5mol/L) 称取氢氧化钾3.5g,加95%乙醇100mL使溶解,静置,使用上清液。

1.4 乙醚。

1.5 2,2-联吡啶乙醇溶液:称取2,2’-联吡啶0.5g,加95%乙醇25mL使溶解。

1.6 三氯化铁乙醇溶液:称取三氯化铁0.1g,加95%乙醇50mL使溶解。

2.操作方法

2.1 吸收系数284nm为41.0~45.0。

2.2 见DL-α-维生素E的鉴别方法。

2.3 取本品10mg,加氢氧化钾乙醇溶液2mL(0.5mol/L),煮沸5min,置冷,加入4mL与乙醚10mL,振摇,静置使分层。取乙醚液2mL,加2,2′联吡啶乙醇液(0.5+100)数滴与三氯化铁乙醇溶液(0.2+100)数滴,应呈血红色。

三、DL-α-乙酸生育酚

化学名:维生素E(DL-α-乙酸生育酚)

别名:维生素E

结构式:

分子式:C31H52O3

相对分子质量:472.75

(一)DL-α-乙酸生育酚的鉴别方法

见D-α-乙酸生育酚。

(二)DL-α-乙酸生育酚的含量测定

1.试剂和溶液

1.1 甲基硅校胶:气相色谱用。

1.2 十元酸十六醇脂。

1.3 维生素E对照品。

2.仪器

气相色谱仪。

3.操作步骤

按照《中华人民共和国药典》1995年版二部气相色谱法测定。

3.1 系统适用性试验 色谱柱以甲基硅橡胶(SE-30)为固定相,涂布浓度为5%,柱温为255℃,理论塔板数按维生素E峰计算应不低于1500,维生素E与内标峰的分离应大于3。

3.2 内标溶液的制备:称取十六酸十六醇酯适量,加正己烷溶解,并稀释成1mL中含2.3mg内标物,摇匀。

3.3 标准溶液的制备:称取维生素E对照品约20mg,精确至0.0001g,置棕色具塞锥形瓶中,精密加入内标溶液10.0mL,密塞,振摇使溶解。

3.4样品溶液的配制:称取样品约20mg,精确至0.0001g,置棕色锥形瓶中,精密加入内标溶液10.0mL,密塞,振摇使溶解。

3.5 测定:取标准溶液及样品溶液,分别连续注样3~5次,每次1~3μL,按峰面积计算校正因子,并用平均值计算样品的含量。

4.分析结果的表述

维生素E含量x1(%)以质量百分数表示,按式(9-46)和式(9-47)计算:

式中 f——维生素E的质量校正因子

A1——标准溶液中内标物的峰面积

A2——维生素E对照品的峰面积

A3——样品溶液中维生素E的峰面积

A4——样品溶液中内标物的峰面积

m1——标准溶液中内标物的质量,g

m2——标准溶液中维生素E的质量,g

m3——样品溶液中样品的质量,g

m4——样品溶液中内标物的质量,g

5.允许差

本方法平行测定的允许绝对差在1.5%以内。

随便看

 

离鸟网收录3541549条中英文词条,其功能与新华字典、现代汉语词典、牛津高阶英汉词典等各类中英文词典类似,基本涵盖了全部常用中英文字词句的读音、释义及用法,是语言学习和写作的有利工具。

 

Copyright © 2004-2024 vtrois.com All Rights Reserved
更新时间:2026/4/7 2:18:33