网站首页  词典首页


请输入您要查询的字词:

 

字词 缓和曲线主点元素的计算及测设
类别 中英文字词句释义及详细解析
释义

缓和曲线主点元素的计算及测设


1.圆曲线的内移和切线的增长

在圆曲线和直线之间增设缓和曲线后,整个曲线发生了变化,为了保证缓和曲线和直线相切,圆曲线应均匀地向圆心方向内移一段距离p,称为圆曲线内移值。同时切线也应相应地增长q,称为切线的增长值。

在公路建设中,一般采用圆心不动,圆曲线半径减少p值的方法,即使减小后的半径等于所选定的圆曲线半径,也就是插入缓和曲线前的半径为R+p,插入缓和曲线后的圆曲线半径为R。增加的缓和曲线的一半弧长位于直线段内,另一半则位于圆曲线段内。如图11-10所示。

图11-10 缓和曲线测设

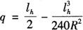
由图11-10可推导得,圆曲线内移值p,从图中可看出

p=yh-(R-Rcosβ)

cosβ展开级数(取前两项)代入上式,整理后得

切线的增长值q,从图可看出为

q=xh-Rsinβ

sinβ也用展开级数代入上式,整理后得

从上式可以看出,当圆曲线半径足够大时,公式的第二项极小,可忽略不计,此时,切线的增长值约为缓和曲线的一半。

2.缓和曲线主点元素以及里程的推算

(1)缓和曲线主元素的计算

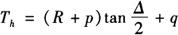
1)切线长

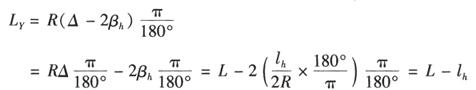
2)主曲线(圆曲线部分)长

3)曲线全长

Lh=Ly+2lh

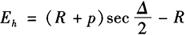
4)外矢距

5)切曲差

Jh=2Th-Lh

为了便于计算,将上列公式稍做些演变:

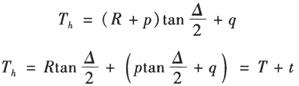
切线长Th

即缓和曲线的切线长Th等于圆曲线的切线长T加尾数t。

主曲线线长LY

即缓和曲线的主曲线线长LY等于圆曲线长L减缓和曲线长lh

曲线全长Lh

Lh=LY+2lh=(L-lh)+2lh=L+lh

即曲线全长Lh等于圆曲线长L加缓和曲线长lh。

外矢距Eh

切曲差Dh

Jh=2Th-Lh=2(T+t)-(L+lh)=(2T-L)+(2t-lh)

Jh=J+d

圆曲线半径R和缓和曲线的长度lh是根据公路的等级和地形状况确定的;路线的转角△是实际测量得到的,据此可按上述公式计算所需的测设元素。如有公路曲线测设用表,首先查取圆曲线的切线长T,外矢距E,切曲差J,然后再加缓和曲线的尾加数表t、e、d便得缓和曲线的切线长Th,外矢距Eh,切曲差Jh

(2)缓和曲线主点里程的计算

直缓点ZH里程:

ZH里程=交点JD里程-切线长Th

缓圆点HY里程:

HY里程=直缓点ZH里程+缓和曲线长lh

曲中点QZ里程:

QZ里程=缓圆点HY里程+主曲线长Ly/2

圆缓点YH里程:

YH里程=曲中点QZ里程+主曲线长Ly/2

缓直点HZ里程:

HZ里程=圆缓点YH里程+缓和曲线长lh

为了检查计算的正确性,可用下式计算HZ里程:

HZ里程=JD里程+切线长Th-切曲差Jh

随便看

 

离鸟网收录3541549条中英文词条,其功能与新华字典、现代汉语词典、牛津高阶英汉词典等各类中英文词典类似,基本涵盖了全部常用中英文字词句的读音、释义及用法,是语言学习和写作的有利工具。

 

Copyright © 2004-2024 vtrois.com All Rights Reserved
更新时间:2026/4/7 13:30:19