网站首页  词典首页


请输入您要查询的字词:

 

字词 罗望子多糖胶
类别 中英文字词句释义及详细解析
释义

罗望子多糖胶


别名 罗望子胶、酸角种子多糖胶

编码 GB 20.011

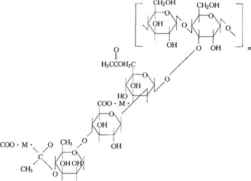
化学结构 由半乳糖、木糖及葡萄糖以1∶3∶4的比例组成的中性聚糖。相对分子质量约25×104~65×104。

性状 微带褐红色、灰白色至白色的粉末,无臭,少量油脂可使之结块并具有油脂味。是一种亲水性植物胶,易溶于热水中。在冷水中易分散并溶胀。不溶于醇、醛、酸等有机溶剂。能与甘油、蔗糖、山梨醇及其它亲水性胶互溶。25℃时,15%水溶液的粘度为300~500mPa·s;2%以上的水溶液难于流动;5%的水溶液成团。在中性条件下,将其水溶液煮沸4h,粘度无明显变化。具有耐盐和耐酸特性,振动、搅拌或加盐,均不影响其粘度。具有类似果胶的性能,有糖存在时,可形成凝胶,其适宜pH的范围比果胶更广泛,凝胶强度约为果胶的两倍。性能稳定,比果胶易于保存。

制法 将罗望子属豆科植物罗望子(Tamarindus indica,又名酸角豆)的荚果种子胚乳部分烘烤后粉碎,用水提取精制而成。

质量标准

毒理学依据(南京医学院)

LD50 小鼠口服1000mg/kg(bw)。

大鼠口服9260mg/kg(bw)。

使用 作增稠剂、稳定剂、胶凝剂。

1.使用注意事项 一般常与其它天然胶配合使用。

2.使用范围及使用量 我国《食品添加剂使用卫生标准》(GB 2760-1996)规定:可用于冰淇淋、果冻、糖果,最大使用量2.0g/kg。

M:Na+、K+Ca2+

相对分子质量 5×106~50×106

随便看

 

离鸟网收录3541549条中英文词条,其功能与新华字典、现代汉语词典、牛津高阶英汉词典等各类中英文词典类似,基本涵盖了全部常用中英文字词句的读音、释义及用法,是语言学习和写作的有利工具。

 

Copyright © 2004-2024 vtrois.com All Rights Reserved
更新时间:2026/5/25 8:15:34