别名 HPC
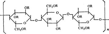
结构式

R=H或
CH2-CH(CH3)-O
H n为大于1的整数
性能 无臭无味的白色至类白色的粉末。与已有的纤维素衍生物(羟甲基纤维素、甲基纤维素、羟乙基纤维素)不同,它具有以下特点:A.在常温下,可溶于水、无水甲醇、无水乙醇等多种有机溶剂。B.热塑性好,成膜性能好。C.灰分极少。D.粘结性、乳胶稳定性及分散性均好。
相对密度1.2224。常温下可溶于水、乙醇、甲醇、异丙醇、氯乙烯中,难溶于醚或苯中。2%的水溶液pH为5.0~7.5。耐热温度195~210℃(开始变色的温度)。
毒性:ADL0~25mg/kg(FAO/WHO,1984),GRAS(FDA,§172,870,1985)。
质量规格(JSCⅠ-Ⅱ)
本品为纤维素的羟丙基醚。


用途 用于医药品(粘合剂、薄膜贴粘剂)、化妆品(分散剂、稳定剂)、胶体保护剂,常用在洗发剂、溶液以及乳液中。并可用作氯乙烯悬浮聚合的分散剂、油墨、印刷用展色剂、水性涂料等。
包装贮运 日本为厚纸箱(10kg)内衬聚乙烯袋。贮存于密闭容器中。