网站首页  词典首页


请输入您要查询的字词:

 

字词 羧甲基淀粉钠
类别 中英文字词句释义及详细解析
释义

羧甲基淀粉钠


别名 CMS-Na

编码 GB 20.012

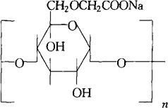
化学结构 构成淀粉的葡萄糖,其羟基与羧甲基(-CHCOO)形成醚键,即形成羧甲基淀粉。

性状 白色粉末,无臭,无味,常温下溶于水,形成胶体状溶液。不溶于甲醇、乙醇及其它有机溶剂。商品羧甲基淀粉钠取代度大多在0.3左右,糊液粘度高,在碱性和弱酸性溶液中稳定,在强酸性溶液中生成沉淀。与二价和三价金属置换(Ca2+、Ba2+、Pb2+),生成不溶性沉淀。

制法

(1)把淀粉溶于水,加入一氯代乙酸钠进行反应后,经中和、脱水、干燥制成。

(2)在苛性钠存在下,在甲醇中使淀粉与氯乙酸钠进行反应,经酸中和,用甲醇水溶液洗净后干燥而成。

质量标准

鉴别方法

(1)取0.1%本品1mL,加1g/LHCl溶液5滴和碘试液(14g碘溶于含有36g碘化钾的100mL水中,加盐酸3滴,用水稀释至1000mL)1滴,混匀后应呈蓝色至红紫色。

(2)0.2%本品溶液5mL,加5%CuSO4溶液5mL,有蓝色沉淀出现。

(3)取0.2%本品溶液1mL,加5mL铬变酸试液(将0.5g铬变酸悬浮于50mL硫酸中,离心取上清液,临用时配制),水浴加热10min后应呈紫至紫红色。

(4)本品灰化所得的残渣钠盐试验呈阳性。

毒理学依据

LD50 大鼠口服9.26g/kg(bw)。

使用 增稠剂、稳定剂和乳化剂。

1.使用注意事项

(1)搅拌下易溶于水,也可先用乙醇湿润后再加入水中。

(2)与金属离子形成各种不溶于水的金属盐,因此不适用于强酸性食品。制造时也不宜与金属长期接触。

(3)水溶液在80℃以上长时间加热,则粘度下降。

(4)本品水溶液易被细菌部分分解。另外,易受α-淀粉酶作用,易液化,粘度降低。因此很少用于番茄酱、果酱等。

2.使用范围及使用量

(1)我国《食品添加剂使用卫生标准》(GB 2760-1996)规定:可用于面包,最大使用量0.02g/kg;冰淇淋,0.06g/kg;酱类、果酱,0.1g/kg。

(2)日本规定:最大用量为2%。

随便看

 

离鸟网收录3541549条中英文词条,其功能与新华字典、现代汉语词典、牛津高阶英汉词典等各类中英文词典类似,基本涵盖了全部常用中英文字词句的读音、释义及用法,是语言学习和写作的有利工具。

 

Copyright © 2004-2024 vtrois.com All Rights Reserved
更新时间:2026/5/25 20:44:40