网站首页  词典首页


请输入您要查询的字词:

 

字词 耐晒射光青莲色原
类别 中英文字词句释义及详细解析
释义

耐晒射光青莲色原


别名 3501射光青莲色淀、耐晒射光青莲、耐晒碱性射光青莲、6250耐晒青莲色原R、1001耐晒青莲色原R。

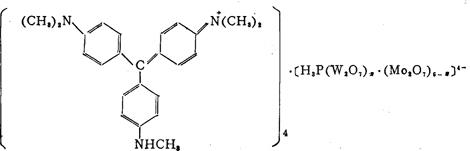
结构式

性能

质量规格(参考)

用途 用于油墨工业中增加黑墨黑度和文教用品着色。

包装贮运 内衬塑料袋的铁桶、纸板桶包装,每桶净重20~30kg。

国内生产厂 上海染化十二厂、天津染化六厂、天津东郊东湖化工厂。

随便看

 

离鸟网收录3541549条中英文词条,其功能与新华字典、现代汉语词典、牛津高阶英汉词典等各类中英文词典类似,基本涵盖了全部常用中英文字词句的读音、释义及用法,是语言学习和写作的有利工具。

 

Copyright © 2004-2024 vtrois.com All Rights Reserved
更新时间:2026/4/7 1:52:18