网站首页  词典首页


请输入您要查询的字词:

 

字词 胆甾醇
类别 中英文字词句释义及详细解析
释义

胆甾醇


别名 胆固醇

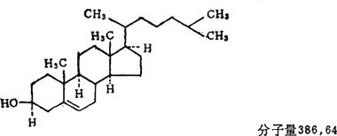
结构式

性能 胆甾醇其一水合物为白色或淡黄色有珠光的片状结晶,70~80℃成无水物。微溶于醇(20℃,1.29g/100g),热乙醇可溶28g,几乎不溶于水(约0.2mg/100mL),可溶于苯、石油醚及油脂中。在空气中缓慢氧化变黄,熔点和溶解度也随之改变。

质量规格(参考)

用途 用作制造激素的重要原料,也用作乳化剂,化妆品的添加剂。

国内生产厂 北京化工厂、天津化学试剂三厂、陕西西安化学试剂厂。

国外质量规格参考(JSCI-Ⅱ)

性状 白色有光泽的薄片状结晶或粒状结晶,几乎没有气味

熔点,℃146~150

比旋光度〔α〕-34~-38°(干燥后,0.2g,二恶烷,10mm,100mm)

溶状 本品0.5g置于通用塞烧瓶中,加温乙醇50mL溶解,在室温放置2h,液体无沉淀或混浊

干燥减量,%≤0.3 灼烧残分,%≤0.1

随便看

 

离鸟网收录3541549条中英文词条,其功能与新华字典、现代汉语词典、牛津高阶英汉词典等各类中英文词典类似,基本涵盖了全部常用中英文字词句的读音、释义及用法,是语言学习和写作的有利工具。

 

Copyright © 2004-2024 vtrois.com All Rights Reserved
更新时间:2026/4/6 20:44:05