网站首页  词典首页


请输入您要查询的字词:

 

字词 胭脂树橙
类别 中英文字词句释义及详细解析
释义

胭脂树橙


胭脂树橙因制法不同有水溶性和油溶性二种。

水溶性:降红木素(Norbixin)

分子式:C24H28O4

相对分子质量:380.48

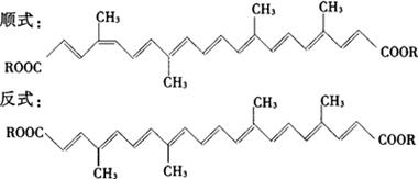
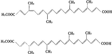
结构式

式中R=H、Na或K

油溶性:红木素(Bixin)

分子式:C25H30O4

相对分子质量:394.5

结构式

一、胭脂树橙的鉴别

1.试剂和溶液

1.1 乙醇 分析纯。

1.2 硫酸分析纯。

1.3 三氯甲烷 分析纯。

1.4 0.1%重铬酸钾溶液。

1.5 氧化铝 层析用。

1.6 三氯化锑试液 取三氯化锑(SbCl3)20g,用三氯甲烷溶解并定容至100mL。必要时过滤。

用无水三氯甲烷淋洗三氯化锑表面,至洗出液透明为止。将无水三氯甲烷加入三氯化锑中配成饱和溶液。装于避光密闭容器中,贮于冷处。用前现配。

1.7 苯 分析纯。

1.8 硫酸钙 分析纯。

1.9 乙酸 分析纯。

1.10 丙酮 分析纯。

2.操作步骤

2.1 溶解性 油溶性胭脂树橙不溶于水,难溶于乙醇。水溶性胭脂树橙溶于水,难溶于乙醇。

2.2 显色反应 浓硫酸与油溶性胭脂树橙中的胭脂树橙作用后可生成矢车菊蓝色,或与降胭脂树素作用生成蓝绿色。

2.3 分光光度法。

2.3.1 油溶性胭脂树橙用三氯甲烷稀释后,在波长439nm、479nm和501nm处有吸收峰。

2.3.2 水溶性胭脂树橙用水稀释后,在波长453nm和482nm处有吸收峰。

2.4 柱色谱法和Carr-price(三氯化锑)反应。

2.4.1 油溶性胭脂树橙:将足量的试样溶于苯,以配制与0.1%重铬酸钾溶液颜色相同的液体。在氧化铝柱的顶部加3mL该溶液后,用苯缓慢洗脱。胭脂树橙非常强烈地吸附在氧化铝表面,并形成光亮的橙-红区(与藏花酸不同)。极浅的黄色区通常极其迅速地通过柱,经用苯洗涤而消去。用苯不能洗脱胭脂树橙。用预先在碳酸钾上干燥过的三氯甲烷将柱洗3次以置换柱中的苯。当最后的三氯甲烷洗涤物被洗脱后,在柱的顶部加三氯化锑试液5mL。胭脂树橙区立即变为蓝-绿色(与藏花酸区别)。

2.4.2 水溶性胭脂树橙:取试样2mL或2g放入50mL分液漏斗中。加足够的c(H2SO4)=1mol/L至呈强酸性。降胭脂树橙素分离成红色沉淀。加50mL苯后剧烈摇动。分层后弃去水层,用水洗涤苯直至酸反应消失。将降胭脂树素在苯中的乳浊液离心分离10min(2500r/min)。轻轻倒出澄清的降胭脂树素后在无水硫酸钠上干燥。在氧化铝柱的顶部加3~5mL此溶液。降胭脂树素在柱的表层生成橙红色区,并显示与胭脂树橙相同的Carr-Price反应(三氯化锑反应)。

2.5 薄层色谱法。

2.5.1 油溶性胭脂树橙:以含12%硫酸钙的硅胶作为吸附剂,铺成0.25mm的薄层板,以乙酸∶三氯甲烷:丙酮(1∶50∶50体积计)。油中的试样至少产生3或4个红色或黄色斑点。两个红色斑点明显强于其他色斑。将这两个色斑溶于苯,并按上述2.4.1的方法鉴别此色斑(系胭脂树橙)之一。

2.5.2 水溶性胭脂树橙 按上述2.5.1的方法制备一色谱图,其中两个色斑为橙色,其他色斑为橙黄色。将橙色斑溶于苯,并按上述2.4.2的方法鉴别此色斑(系降胭脂树橙素)之一。

二、胭脂树橙的含量测定

1.试剂和溶液

1.1 三氯甲烷 分析纯。

1.2 氢氧化钠试液 0.01/mol/L。

1.3 氯化钠溶液 100g/L。

1.4 苯 分析纯。

1.5 稀硫酸试液 取硫酸57mL,细心地加入约100mL水中,冷却至室温,用水稀释至1000mL,本试液含H2SO4100g/L,约1mol/L。

1.6 石油醚 分析纯。

2.测定方法

2.1 油溶性胭脂树橙 精确称取试样0.1g至1g,移入100mL容量瓶中,溶于三氯甲烷,并用三氯甲烷定容后混匀。取此溶液1mL,移入另一100mL容量瓶中,稀释至100mL。测此溶液在470nm波长处的吸光度A。

2.2 水溶性胭脂树橙 精确称取试样0.1g,加0.01mol/LNaOH溶液至100mL后,剧烈摇动。取此液1mL,移入分液漏斗,加10%氯化钠溶液10mL和水至50mL后,加2mL稀硫酸试液。每次用10mL苯连续萃取此溶液,直至萃取液无色为止。合并苯萃取液,每次用5mL水洗涤3次后放置,分去水层。将苯萃取液移入另一分液漏斗,每次用2mL苯洗涤水层,并将这些洗液并入苯萃取液。将相等体积的石油醚加入苯萃取液,混匀,每次用5mL的0.01mol/L氢氧化钠试液连续萃取至氢氧化钠溶液呈无色为止。合并萃取液,加0.01mol/LNaOH至100mL。测定在波长453nm处的吸光度A。

3.分析结果的表述

(5-20)

随便看

 

离鸟网收录3541549条中英文词条,其功能与新华字典、现代汉语词典、牛津高阶英汉词典等各类中英文词典类似,基本涵盖了全部常用中英文字词句的读音、释义及用法,是语言学习和写作的有利工具。

 

Copyright © 2004-2024 vtrois.com All Rights Reserved
更新时间:2026/4/9 4:35:51