网站首页  词典首页


请输入您要查询的字词:

 

字词 胭脂树橙
类别 中英文字词句释义及详细解析
释义

胭脂树橙


别名 胭脂树橙提取物、红木素、降红木素

编码GB 08.000;INS 160(b);C.I.(1975)75120

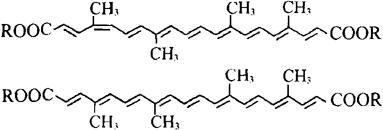
化学结构

顺式、反式红木素(Bixin):

C25H30O4 相对分子质量 394.51

顺式、反式降红木素(Norbixin):

R=H、Na或K

C24H28O4 相对分子质量 380.48

性状 油溶性胭脂树橙含数种成分,其主要成分为红木素,有顺式、反式两种,为红色至红棕色溶液或混悬体。不溶于水,微溶于乙醇。遇热(120℃)色泽稳定,遇还原剂和氧化剂以及数种金属成分(铝、铁、锌、锡)仍能保持色泽稳定。

水溶性胭脂树橙含有降红木素,有顺式、反式二种,呈红棕色液体,块状、粉状或糊状,溶于水、碱性溶液,微溶于乙醇,色泽稳定。

制法 油溶性胭脂树橙是由胭脂树(Bixa Orellana)的种子表皮,用植物油经加热提取、过滤、精制而得。也可用食品级溶剂进行提取、浓缩、除去溶剂后制得。

水溶性胭脂树橙是从胭脂树的种子表皮经用氢氧化钠或氢氧化钾水溶液水解、精制而得。也可用食品级溶剂提取后,再用氢氧化钠或氢氧化钾溶液水解而得。

质量标准

鉴别方法

(1)分光光度法。红木素用丙酮稀释,最大吸收波长为439、470、501nm。降红木素用水稀释,最大吸收波长为451~455nm和480~484nm。

(2)胭脂树橙遇浓硫酸,红木素变矢车菊蓝色;降红木素呈蓝绿色。

(3)薄层层析

展开剂:乙酸∶三氯甲烷∶丙酮=1∶50∶50。

薄层板 硅胶G-15%碳酸钙。

按常规法进行,可获3或4个红色或黄色斑点。

毒理学依据(广东省食品卫生监督检验所)

1.LD50 小鼠口服大于21.5g/kg(bw)。

2.小鼠骨髓微核试验 阴性。

3.GRAS FDA21 CFR73.30。

4.ADI 0~0.065mg/kg(bw)(以红木素计)(FAO/WHO,1994)。

使用 着色剂。

1.使用注意事项

(1)红木素为油溶性色素,供脂肪类食品、人造黄油、奶油和巧克力等和其它油脂食品着色用。其色调在浅黄色与金橙黄色之间,还可配成红色。它在高温(低于125℃)和在光照下有良好的稳定性,遇金属不会起颜色反应,有利于罐头类食品应用。

(2)降红木素对乳蛋白有良好亲和性,适用于奶酪和奶制品。其色调由橘黄到黄色。也可用于肉类食品、糖果、焙烤食品、饮料、点心以及其他食品。

2.使用范围及使用量 我国《食品添加剂使用卫生标准》(GB 2760-1996)规定:可用于人造奶油,最大使用量0.05g/kg;糕点,最大用量0.015g/kg;软饮料、肉汤为0.02g/kg;香肠、西式火腿、巧克力为0.025g/kg;复合调味料为0.1g/kg;油炸薯片为0.01g/kg。

以上均按红木素或降红木素计。

随便看

 

离鸟网收录3541549条中英文词条,其功能与新华字典、现代汉语词典、牛津高阶英汉词典等各类中英文词典类似,基本涵盖了全部常用中英文字词句的读音、释义及用法,是语言学习和写作的有利工具。

 

Copyright © 2004-2024 vtrois.com All Rights Reserved
更新时间:2026/4/8 18:21:02