网站首页  词典首页


请输入您要查询的字词:

 

字词 胭脂虫红
类别 中英文字词句释义及详细解析
释义

胭脂虫红


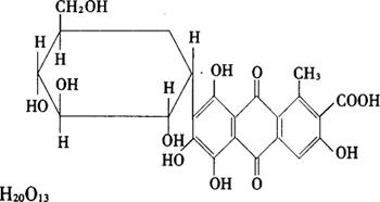
结构式:主要成分 胭脂红酸(Carminic Acid)

分子式:C22H20O13

相对分子质量:492.40

一、胭脂虫红的鉴别

1.试剂和溶液

1.1 氢氧化钠溶液 100g/L。

1.2 氨水。

2.操作步骤

取试样333mg,加44mL水、0.15mL氢氧化钠溶液、0.2mL氨水,混合,温热至溶解,移入500mL容量瓶中,并用水定容。吸取此溶液10.0mL移入250mL容量瓶中,用水定容后混匀。用适宜的分光光度计,以水作为空白试样,在1cm吸收池中测定,在520nm和550nm波长处应有吸收峰,于520nm处的吸光度不小于0.30。

二、胭脂虫红的含量测定

1.试剂和溶液

1.1 2mol/LHCl。

1.2 0.06mol/LHCl。

2.测定方法

精确称取约30mg试样,溶于30mL沸腾的2mol/LHCl中,冷却,移入1000mL容量瓶,用水定容后混匀。用适宜的分光光度计,以0.06mol/LHCl作为空白试样,于最大吸收波长(约于494nm)处,在1cm吸收池中测定此溶液的吸光度。如果吸光度不在0.20~0.25之间,则适当地调整重量,另外制备试样溶液。然后按式(5-18)计算所取试样中胭脂红酸的质量分数。

式中 A——试样的吸光度

m——样品质量,mg

0.262——浓度为15mg/1000mL的胭脂红酸溶液的吸光度

随便看

 

离鸟网收录3541549条中英文词条,其功能与新华字典、现代汉语词典、牛津高阶英汉词典等各类中英文词典类似,基本涵盖了全部常用中英文字词句的读音、释义及用法,是语言学习和写作的有利工具。

 

Copyright © 2004-2024 vtrois.com All Rights Reserved
更新时间:2026/5/25 8:36:48