壳体形塑件脱模阻力通常按薄壁和厚壁两种类型考虑,每种类型塑件再根据断面几何形状进行计算。
4.4.1.1 薄壁壳体形塑件
指塑件壁厚与其内孔直径之比小于1/20,即t/D≤1/20的塑件。
①塑件断面为圆环形时,所需脱模力

②塑件断面为矩环形时,所需脱模力

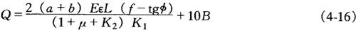
4.4.1.2 厚壁壳体形塑体
指塑件壁厚与其内孔直径之比大于1/20,即t/D≥1/20的塑件。
①塑件断面为圆环形时,所需脱模力

②塑件断面为矩环形时,所需脱模力

式中 E——塑料的拉伸模量(MPa)
ε——塑料成型平均收缩率(%)
t——塑件的平均壁厚(mm)
L——塑件包容型芯的长度(mm)
μ——塑料的泊松比
φ——脱模斜度(塑件侧面与脱模方向之夹角)
f——塑料与钢材之间的摩擦因数
r——型芯大小端的平均直径(mm)
α——矩形型腔的短边长度(mm)
b——矩形型腔长边长度(mm)
B——塑件再与开模方向垂直的平面上的投影面积(cm2),当塑件底部有通孔时,10B项应为零
K1——由f和φ决定的无因次数,可由下式计算
K1=1+fsinφcosφ (4-17)
K2——由λ(λ=r/t)和φ决定的无因次数,可由下式计算
