网站首页  词典首页


请输入您要查询的字词:

 

字词 膨化食品的检验
类别 中英文字词句释义及详细解析
释义

膨化食品的检验


(一)样品的采集与预处理

1.采样

从每批产品中按万分之五的比例随机抽取样品,抽样品量不得少于2kg。

2.样品预处理

取0.5kg含油脂较多的样品或1kg含油脂较少的样品,在玻璃乳钵中研碎,混合均匀后放置广口瓶内,保存于冰箱中备用。

(二)感官检验

取两包以上样品打开包装后观察,应具有各种品种正常的色泽,不得有霉变及其他外来污染物。品尝其味,不得有酸败、哈喇味等异味。

(三)理化检验

1.筛下物的测定(GB 2353-1998)

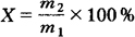
(1)操作步骤:将整包试样拆除包装后,用感量0.1g的天平称其质量(m1),然后将样品通过Φ200mm×50mm的标准检验筛(GB 6003-1985),称其筛下物的质量(m2)

(2)计算:

式中 X——筛下物含量(%);

m1——试样质量(g);

m2——筛下物质量(g)。

2.水分和脂肪的测定

参见第二章第一节。

3.酸价、过氧化值、羰基价、铅、砷、食品添加剂、黄曲霉毒素B1的测定

参见第二章第二节。

4.氯化钠的测定

参见第二章第五节四 (三)。

(四)微生物检验

微生物检验参见第二章第三节。

随便看

 

离鸟网收录3541549条中英文词条,其功能与新华字典、现代汉语词典、牛津高阶英汉词典等各类中英文词典类似,基本涵盖了全部常用中英文字词句的读音、释义及用法,是语言学习和写作的有利工具。

 

Copyright © 2004-2024 vtrois.com All Rights Reserved
更新时间:2026/4/8 23:29:21