膨胀系数即为物体在每升高1℃时的单位长度(或单位体积)的膨胀量(单位为1/℃),膨胀系数试验方法分线膨胀系数(详见GB-1036-70)及体膨胀系数(详见ASTM-864)两种,其方法都是在一定的温差下,测定其长度(或体积)的变化量,而后计算其膨胀系数,因体膨胀系数的测定比较麻烦,故一般不采用,这里仅介绍线膨胀系数的测定方法。其试验装置见图10-4-7。
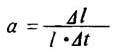
线膨胀系数的试样尺寸为:直径10mm的圆柱体或边长为7mm的方柱体,其高度为30mm、50mm、100mm三种,计算公式如下:

式中 α——线膨胀系数(1/℃)
△ι——试样膨胀时长度变化值(mm)
ι——试样在室温时的长度(mm)
△ι——高、低温恒温器的温度差(℃)

图10-4-7立式线膨胀计
1-千分表 2-连接件 3-石英外管 4-石英内 5-试样 6-固定螺丝