网站首页  词典首页


请输入您要查询的字词:

 

字词 色度计量仪器及其检定
类别 中英文字词句释义及详细解析
释义

色度计量仪器及其检定


测量物体颜色的仪器种类很多。其中有一类是用人眼观察,进行直接比色测量,用特定的标号来表征颜色,这种色度计不能直接给出样品的X、Y、Z或x,y值,所以只局限在某些行业中使用。

光电式色度计能直接给出各种色度学数据,应用较广,从原理上可分为光谱测色和光电积分两大类。

光谱测色仪器可测量样品的光谱反射比或光谱透射比。计算三刺激值时,光源及色匹配函数都是标准化了的,只有样品的ρ(λ)或τ(λ)是待测的。从原理上讲,光谱测色法准确度最高。光谱测色仪器与化学分析用的分光光度计有很多相同之处,但作为测色仪器,必须满足一些特定要求,主要有:(1)光谱范围应覆盖整个可见光谱区(380nm至780nm),最低限度不能小于400nm至700nm;(2)光谱带宽为10nm以下,最常用的带宽是10nm或5nm;(3)波长误差应小于0.5nm;(4)光电响应的非线性误差应小于0.5%;(5)为了对样品实现0/d或d/0的测量条件,通常都带有积分球;(6)应有计算功能,以获得色度学数据。

在检验光谱测色仪时,可以按上述要求逐条检验,也可以用标准色板来进行综合检验,比较仪器测量结果与标准值之差Δx、Δy和ΔY。光谱测色仪器结构复杂,价格昂贵,精度较高,可作为标准仪器。

光电积分式色度计是用光电探测器(如硅光电二极管、光电管或光电倍增管)配上适当的滤光器,使其光谱响应函数近似于三个色匹配函数,因而其光电输出直接正比于三刺激值,只需简单的运算就能得到色坐标值。通常,光电积分式色度计包括光源、光接收装置和输出显示等几部分。为实现0/d或d/0条件,有些也带有积分球。另一些色度计只能提供0/45或45/0两种测量条件。还有些色度计为了光源色测量和实现非接触式测量,带有一个物镜成象系统,以便对准被测目标。

光电积分式色度计中的修正滤光片是关键性部件,有些仪器用四组滤光片,因为函数是有两个峰值的。有些仪器只用三组,因为函数的短波部分与函数很相似,只是高度不同,这可用放大倍数或乘一个系数来解决。要非常准确地用滤光片与光电元件来模拟三个色匹配函数是十分困难的,所以需用标准色板对仪器进行校正,得出一组校正系数,以修正测量结果。近年许多新型光电积分色度计内部带有单片机,可实现校正和计算功能。作为一般检定,可用一组标准色板来综合评定光电色度计的误差。但为了使测量结果更可靠,在测量某种颜色样品之前,要用相同或相近似颜色的标准色板校正仪器。对于能够测量光源颜色的色度计,更应注意这一点。例如要测白炽灯颜色时,用白炽标准灯来校正色度计,要测电视屏幕时,要用标准白场仪来校正色度计。

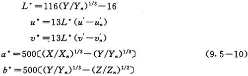
光电积分式仪器有使用方便、直接读数等优点,适于现场测量,虽然准确度受一定限制,但测量色差的能力较强,故多称为色度色差计或测色色差计。色差的表示,最简单的是以色坐标之差:Δx,Δy。但从颜色视觉的观点,色是个三维量,因此往往要用三维色差公式,国际照明委员会推荐了两个色差公式:

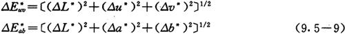
式中

上式中带脚标n的表示照明体的值,无脚标的表示样品的值。u’′v是一种均匀色空间的色坐标,可由下式计算:

总之,都是由样品和照明体的三刺激值计算出来的。有些色差计能显示很多种色差,以适应不同行业的需要。

【参考文献】:

[1]现代计量学概论,鲁绍曾主编,中国计量出版社,1987。

[2]现代计量测试技术,王江主编,中国计量出版社,1990。

[3]光度学,郝允祥等编着,北京师范大学出版社,1988。

[4]色度学,荆其诚等编着,科学出版社1979,。

[5]Principles Governing Photometry,Metrologia,19,97-101,1983.

[6]Accurate Measurement and Correction for Nonlinearities in Radiometers,J.Res.NBS,67A,1972.

随便看

 

离鸟网收录3541549条中英文词条,其功能与新华字典、现代汉语词典、牛津高阶英汉词典等各类中英文词典类似,基本涵盖了全部常用中英文字词句的读音、释义及用法,是语言学习和写作的有利工具。

 

Copyright © 2004-2024 vtrois.com All Rights Reserved
更新时间:2026/4/7 5:55:12