网站首页  词典首页


请输入您要查询的字词:

 

字词 色素溶解性、坚牢度一览表
类别 中英文字词句释义及详细解析
释义

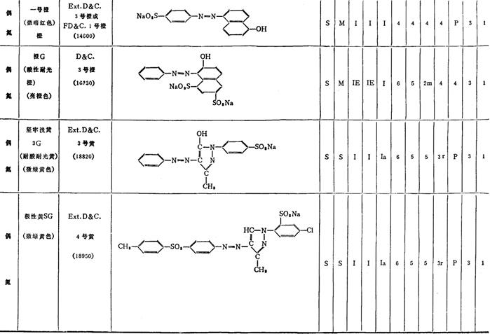
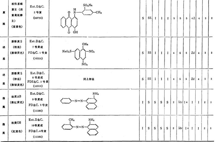
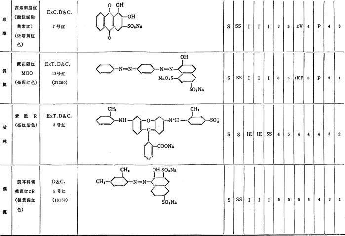
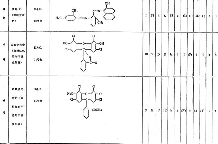
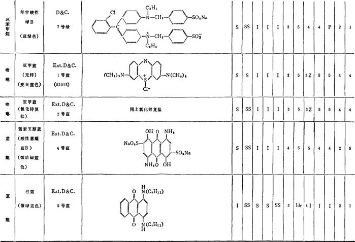
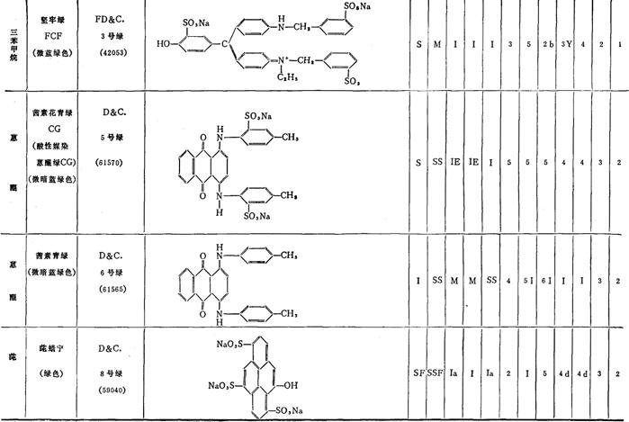
色素溶解性、坚牢度一览表


色素溶解度、坚牢度一览表

a.表示极微溶解,可能印流。

B.表示不溶解于水,但溶于碱性水溶液。

b.表示色彩转为更蓝。

C.表示实际上不溶解,但可应用于近中性或微酸性乳化体中。

c.表示在25℃时。

D.表示实际上不溶解,但可藉研磨或均化使其分散。如介质为固体(如蜡),则在研磨前应先软化或熔融。

d.表示色彩转暗或深。

E.表示实际上不溶解于脂肪酸、油或蜡,但可应用于微碱性水相乳化体。

F.表示溶液有荧光。

G.表示当有10~25%脂肪酸时,可在油或蜡中溶解或分散。

g.表示色彩转为更绿。

h.表示在98℃时。

I.表示不溶解。

J.表示溶液增稠或凝胶化。

K.表示色彩转棕。

L.表示色彩转橙。

M.表示溶解度在0.25~1%。

m。表示色彩转猩红。

P.表示呈重金属盐或发色酸沉淀。

r.表示色彩转更红。

S.表示溶解度在1%以上。

SS.表示溶解度在0.25%以下。

S1.表示微。

t.表示染料破坏或溶液实际上变为无色。

U.表示在碱性还原液中形成可溶性无色化合物。

V.表示色彩转紫。

X.表示色彩转黄。

Y.表示色彩转更黄。

Z.表示模糊或混浊。

+.表示不适用于酸性溶液。

*.表示实际上无色。

1.表示坚牢度极差。

2.表示坚牢度差。

3.表示坚牢度尚可,

4.表示坚牢度中等。

5.表示坚牢度好。

6.表示坚牢度极好。

7.表示坚牢度特好。

随便看

 

离鸟网收录3541549条中英文词条,其功能与新华字典、现代汉语词典、牛津高阶英汉词典等各类中英文词典类似,基本涵盖了全部常用中英文字词句的读音、释义及用法,是语言学习和写作的有利工具。

 

Copyright © 2004-2024 vtrois.com All Rights Reserved
更新时间:2026/4/6 21:45:36