网站首页  词典首页


请输入您要查询的字词:

 

字词 茴香基丙酮
类别 中英文字词句释义及详细解析
释义

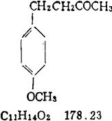
茴香基丙酮


又称p-甲氧基苯丁酮。由大茴香醛与丙酮缩合后再加氢合成而得。

性质 无色油液,冷时固化;具有甜的花香带水果香气;相对密度1.054(22℃),沸点277℃,熔点10℃,极微溶于水,溶于醇和油类,少量溶于丙二醇。

用途 用于花香型日化及食品香精中。

随便看

 

离鸟网收录3541549条中英文词条,其功能与新华字典、现代汉语词典、牛津高阶英汉词典等各类中英文词典类似,基本涵盖了全部常用中英文字词句的读音、释义及用法,是语言学习和写作的有利工具。

 

Copyright © 2004-2024 vtrois.com All Rights Reserved
更新时间:2026/4/7 19:55:30