别名 茶皂素
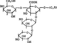
结构式

性能 茶皂苷是由茶树种子提取出来的一类糖苷化合物,是一种性能良好的天然表面活性剂,具有乳化、分散、润湿、发泡以及消炎和杀菌等特性。产品为浅黄色粉末,味苦。不溶于乙醚、氯仿、丙酮、苯、石油醚等有机溶剂,易溶于含水甲醇、含水乙醇、正丁醇以及温水中。
质量规格(参考)
外观 浅黄色粉末 水溶液 茶褐色,无不溶物
pH值5.0~6.5 表面张力,mN/m47~51
用途 在化工、纺织工业中可用作发泡剂和纺织助剂。在化妆品中用作调理香波的多功能原料,不仅去污力好,对头发、皮肤无刺激,还有止痒、去头屑、防脱发的功能。
包装1kg塑料软包装,外包装为20kg硬纸箱。
国内生产厂 浙江省湖州市长超生物制品厂。