网站首页  词典首页


请输入您要查询的字词:

 

字词 荧光增白剂31#
类别 中英文字词句释义及详细解析
释义

荧光增白剂31#


别名 挺进31#

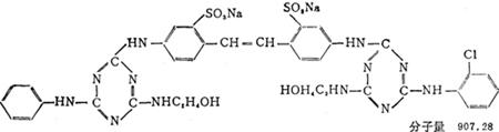
结构式

性能 具有青光荧光的淡黄色粉末。可溶于水,不适宜与阳离子表面活性剂或染料同浴使用。当与阴离子、非离子表面活性剂同时配伍洗涤时,对纤维会明显地起增白效果。

质量规格(沪Q/QBH-24-86)

*本规格中的标准品为上海合成洗涤剂三厂的厂标准品。

用途 主要用于合成洗衣粉、肥皂、香皂和纸张增白,还可用于棉织物、锦纶和人造丝等增白。

国内生产厂 上海合成洗涤剂三厂。

随便看

 

离鸟网收录3541549条中英文词条,其功能与新华字典、现代汉语词典、牛津高阶英汉词典等各类中英文词典类似,基本涵盖了全部常用中英文字词句的读音、释义及用法,是语言学习和写作的有利工具。

 

Copyright © 2004-2024 vtrois.com All Rights Reserved
更新时间:2026/4/9 0:19:51