网站首页  词典首页


请输入您要查询的字词:

 

字词 荧光桔红B
类别 中英文字词句释义及详细解析
释义

荧光桔红B


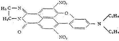
【结构式】:

【释文】:

性质 红色粉末。细度(80目筛)全通过。不溶于水,微溶于有机溶剂,在空气中稳定。

用途 本品适用于聚苯乙烯、硬聚氯乙烯、有机玻璃、ABS等塑料的着色。参考用量见表14-6。本品不适用于聚乙烯、聚丙烯。

表14-6 荧光桔红B的参考用量

国内生产厂 浙江黄岩县化工厂

随便看

 

离鸟网收录3541549条中英文词条,其功能与新华字典、现代汉语词典、牛津高阶英汉词典等各类中英文词典类似,基本涵盖了全部常用中英文字词句的读音、释义及用法,是语言学习和写作的有利工具。

 

Copyright © 2004-2024 vtrois.com All Rights Reserved
更新时间:2026/4/8 4:54:32