别名 菊花黄
编码 GB 08.113
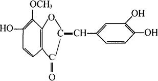
化学结构 主要着色成分为:(Ⅰ)大金鸡菊查尔酮苷(Ianceo1in)、(Ⅱ)大金鸡菊查尔酮(Ianceoletin)、(Ⅲ)大花金鸡菊噢哢(Ieptosidin)、(Ⅳ)大花金鸡菊噢哢苷(Ieptosin)。
(Ⅰ)

C22H24O11 相对分子质量 466.42
(Ⅱ)

C16H14O6 相对分子质量 302.28
(Ⅲ)

C16H12O6 相对分子质量 300.27
(Ⅳ)

C22H22O11 相对分子质量 462.41
性状 棕褐色粘稠液体,具有菊花的清香气味。易溶于水和乙醇,不溶于油脂,水溶液在pH小于7.0时呈黄色(色调稳定),pH大于7.0时呈橙黄色。相对密度1.2515,着色力较强,耐热性、耐光性均较好。
制法 以菊科植物大金鸡菊(Coreopsis Lanceolate L.)的花序为原料,用水浸提后过滤、精制、减压浓缩制成浸膏状。
质量标准

鉴别方法
(1)取本品水溶液少许,加1滴1%~5% FeC13溶液,溶液呈蓝绿色。
(2)取本品水溶液少许,加1滴10%碱式乙酸铅溶液,有橘红色沉淀出现。
(3)取本品水溶液滴在滤纸上,干后置于氨蒸汽中,呈橙色。置于紫外灯下具有黄绿色荧光。
毒理学依据
1.LD50 小鼠口服大于22.527g/kg(bw)。
大鼠口服大于21.500g/kg(bw)。
2.蓄积性实验 小鼠无明显蓄积作用。
3.致突变试验 Ames试验、骨髓微核试验及小鼠睾丸染色体畸变试验,均未见有致突变作用。
使用 着色剂。
1.使用注意事项 本品具有菊花特有清香气味,用于饮料有增香作用。
2.使用范围及使用量
(1)我国《食品添加剂使用卫生标准》(GB 2760-1996)规定:用于果汁(味)饮料类、糖果、糕点上彩装,最大使用量0.3g/kg。
(2)实际使用参考:本品着色效果好,可替代柠檬黄色素。商品菊花黄浸膏多为45%~50%的含量,一般参考添加量为0.01%~0.02%(45%浸膏)。