网站首页  词典首页


请输入您要查询的字词:

 

字词 萝卜红
类别 中英文字词句释义及详细解析
释义

萝卜红


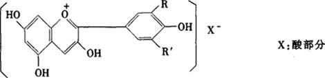
结构式

分子式:C15H11O5X(天竺葵素)

一、萝卜红的鉴别

1.试剂和溶液

1.1 盐酸 分析纯。

1.2 乙酸 分析纯。

1.3 10%碳酸钠溶液 称取10g碳酸钠,加水至100mL。

1.4 10%氢氧化钠溶液 100g/L。

1.5 pH3柠檬酸-磷酸氢二钠缓冲液。2.操作步骤

2.1 溶解性 易溶于水,几乎不溶于无水乙醇。

2.2 颜色反应 于白瓷板上分别滴入1%样品1~2滴,然后分别加入10%盐酸溶液或乙酸溶液1滴,颜色均为橘红色。在样品中加入10%碳酸钠溶液1滴,颜色应为紫红色;加入10%氢氧化钠溶液1滴,颜色应为黄色。

2.3 最大吸收峰 取0.1g样品,加pH3柠檬酸-磷酸氢二钠缓冲液稀释至100mL,此液在520nm附近有最大吸收峰。

二、萝卜红的吸光度的测定

1.试剂和溶液

1.1 柠檬酸 分析纯。

1.2 磷酸氢二钠 分析纯。

1.3 pH3磷酸盐-柠檬酸缓冲液 取0.2mol/LNa2HPO4溶液4.11mL与0.1mol/LC6H8O7(柠檬酸)溶液15.89mL混合。

1.4 0.2mol/LNa2HPO4溶液 精密称取磷酸氢二钠35.60g,用蒸馏水定容至1000mL。

1.5 0.1mol/L柠檬酸溶液 精密称取柠檬酸21.0140g,用蒸馏水稀释到100mL。

2.仪器

分光光度计。

3.测定方法

精确称取0.1~0.2g样品,用pH3柠檬酸-磷酸氢二钠缓冲溶液稀释至1000mL,用1cm比色皿以缓冲液为空白,在520nm下测其吸光度。

4.分析结果的表述

式中 A——吸光度

m——样品的质量,g-在被测样品浓度为1%,1cm比色皿时,最大吸收峰520nm时的吸光度。

随便看

 

离鸟网收录3541549条中英文词条,其功能与新华字典、现代汉语词典、牛津高阶英汉词典等各类中英文词典类似,基本涵盖了全部常用中英文字词句的读音、释义及用法,是语言学习和写作的有利工具。

 

Copyright © 2004-2024 vtrois.com All Rights Reserved
更新时间:2026/4/7 0:36:01