网站首页  词典首页


请输入您要查询的字词:

 

字词 葡萄酒的澄清
类别 中英文字词句释义及详细解析
释义

葡萄酒的澄清


一、葡萄酒不稳定和浑浊形成的原因

1.葡萄酒不稳定因素

构成葡萄酒的物质,大部分呈分子状态,只有一小部分是胶体状态。而这一小部分却对葡萄酒的澄清和稳定性非常重要。

葡萄酒是一种胶体溶液,胶体溶液中的颗粒有由小变大的趋势,颗粒愈大,散射的光线就愈多,溶液也就愈显浑浊,从而导致葡萄酒不稳定。

2.葡萄酒浑浊的形成

由于葡萄酒在酿造过程中会发生一系列的微生物、物理、化学和生物化学的变化,使葡萄酒成分产生不平衡。首先是化学反应,如铁的氧化,铜的还原,蛋白质和单宁的作用,果胶、色素以及pH值变化等,形成胶体物质(磷酸铁、胶体、色素及其他),然后逐步在液体中生成絮状物,开始浑浊并沉淀下来。

葡萄酒是复杂的液体,其主要成分是水分和酒精分子。其他物质如有机酸、金属盐类、单宁、糖、蛋白质和其他等。新酒中还含有悬浮状态的酵母、细菌、凝聚的蛋白质和单宁物质、粘液质、酒石酸钾和钙等,这些均是形成浑浊的原因。

二、葡萄酒澄清过程

1.澄清目的

葡萄酒在贮存过程中,由于酒温降低,酒石结晶沉淀。红葡萄酒还有无定形的色素微粒自行沉淀出来。另外还有蛋白质浑浊、微生物浑浊等。为了保证葡萄酒具有一定的稳定性,且透明度好,除保持一定贮存期外,还必须采取澄清或其他技术加工措施,以取得合格的葡萄酒。

发酵结束,进入贮存的葡萄酒,尽量提早进行下胶处理,以免在贮存过程中影响酒质的净化和老熟,有利于稳定酒的质量。

2.澄清的机理

葡萄酒的透明度,取决于过滤与澄清两项措施。过滤是简单的物理作用。而澄清则比较复杂,直接涉及葡萄酒的结构,是一种胶体性化学——物理现象。

所谓澄清,是通过在葡萄酒内加入一种澄清剂而进行的。而用作澄清剂的胶体大部分是蛋白质,在葡萄酒中带正电荷。而葡萄酒内胶体成分,如单宁在酒中部分呈胶状态,它和形成雾浊的粒子带负电荷,当它们接触时,相互吸引,便开始絮凝过程,使酒处于一种新的胶体状态,形成胶体沉淀,使酒澄清而透明。

另一种解释:酒中单宁使澄清剂中蛋白质变性,即把它由亲水胶体转化为憎水胶体,在酒中金属盐的阳离子作用下,憎水胶体便凝聚沉淀。

3.澄清过程

在葡萄酒中,加入有机的或无机的不溶物质(即澄清剂),它和葡萄酒胶体物质相互作用,产生一种不溶性化合物,形成了絮状而沉淀下来,同时将酒中悬浮的很细微粒沉淀下来,使酒澄清。由此可见澄清需要经过两个过程,即先经过凝聚过程,由于凝聚作用使微粒增大,再经过沉淀过程,由于沉降作用,使固形物沉淀析出。因此澄清过程需要几天或几周时间,才能达到预计效果。

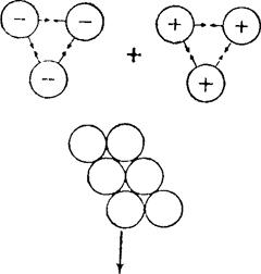
图3-9-1 下胶澄清机理

带负电的悬浮微粒(雾浊微粒)与带正电的有机澄清剂相互吸引;电荷消失,微粒聚集沉淀(絮凝沉淀)

葡萄酒中成分比较复杂,而参与凝聚沉淀作用的成分,主要是聚苯酚、单宁、色素物质和含氮物质,因此澄清过程与这些因素有关。

红葡萄酒单宁含量高,下胶以后几分钟就有絮状体形成,便很快凝聚沉淀。

白葡萄酒单宁含量低,下胶后需要几小时,甚至三、四天才形成絮状体。

单宁和蛋白质浓度愈高,形成单宁盐、鞣酸蛋白质的速度,及其他沉淀速度更快。

4.常用的澄清剂

(1)澄清剂分类 澄清剂分动物性、植物性和矿物性等三种。见表3-9-1。

表3-9-1 澄清剂分类

(2)主要澄清剂

①明胶(又称骨胶):明胶是动物下脚(软骨、骨腱、碎皮)加压经长时间烧煮而得。是去单宁的氧化性澄清剂。

食用明胶有片状、粒状、凝块状、粉状和液态透明体等,呈无色、淡黄色、棕色、微带光泽、无味半透明体,具有良好的凝聚性质和吸咐能力。凝胶力100~200布卢姆单位,粘度3~6mpa·s,分子量15000~140000,溶于热水(70~80℃)、甘油、醋酸。不溶于乙醇和醚。不耐高温,当加热到120~125℃,冷却后失去凝固物质。

硅胶——明胶复合澄清剂:

硅胶以30%的量溶于水中,制取胶体溶液,可取代单宁,用于白葡萄酒澄清。

②鱼胶:是从某些鱼的鱼鳔中提取出来的。是白葡萄酒的高级澄清剂。酒中组分被它消耗得最少,又不会使酒受到污染。虽澄清较慢,但效果好。由于价格昂贵,故一般用于高级葡萄酒及特殊加工酒的澄清。

鱼胶溶液制备:1kg鱼胶片浸入100L水,加100g酒石酸,加20gSO2防腐剂,搅匀,几天后过滤。

③蛋清:一般用鸡蛋的蛋清(每个鸡蛋相当于3~4g活性蛋白)可制成干粉或干片,溶于水,具有除单宁和色素的性能,在冷的酒精和酒石酸中沉淀出来,和单宁化合产生不溶性单宁盐。由于蛋清是容积很大的絮状体,形成的絮状体比较紧密,澄清作用快,适于优质红葡萄酒下胶,它使酒味柔和而不单薄,并能保留酒的细腻感。但由于加工不纯而有臭味,故用得较少。

④干酪素(酪朊):从牛奶中提取的异蛋白(1L牛奶含有30g酪蛋白)。商品干酪素粉中含有少量碳酸氢钾,有助于它的溶解,故又称酪蛋白酸钾。呈黄白色的粒状粉末,和碱性盐混和可溶解,具有在酸性中凝聚的特性,能去酒中不稳定的色素物质,是白葡萄酒的重要澄清剂。主要用于处理铁浑浊的白葡萄酒。

⑤血粉:牛血中含有70g/L活性蛋白可供下胶用。它是牛血经低温脱水制成的血粉,用于新酒的澄清,效果好,使略带涩味的红葡萄酒变得柔和。

⑥皂土:是一种胶质粘土,吸咐能力强,澄清效果好。一般用来澄清由于蛋白质浑浊,或下胶过量的葡萄酒,效果很好。皂土常与明胶一起用(明胶用量为皂土的10%),可提高澄清效果。使用时将皂土于水中浸泡,任其吸水膨胀(用水比为10%),配成均匀悬浮液,放入酒中搅匀,6~8天即可。

⑦亚铁氰化钾:亚铁氰化钾和某些金属如铁、铜、锌等可以生成不溶性化合物而沉淀。

⑧单宁(单宁酸、鞣酸):一般从五倍子中提取。单宁酸含量80%以上。呈淡黄色或浅棕色粉末。水溶液棕色透明。收敛性强,味极涩,呈酸性反应。溶于水、醇,能使生物碱及蛋白质凝固沉淀,遇含铁物质生成黑色单宁酸铁沉淀。

⑨果胶酶:近代葡萄酒工业广泛采用果胶酶,使果胶质分解为高度可溶性的半乳糖醛酸,使果胶失去胶性,果汁粘度下降,酒中不溶性浑浊物易形成颗粒下降,使酒澄清。一般作用温度15~25℃,时间6~8h。

5.下胶澄清技术

(1)下胶操作 下胶是葡萄酒澄清过程中一项重要操作。下胶过程是以加到葡萄酒中的澄清剂和酒中胶体物质相互作用为基础的,要提高澄清效果,必须按一定的工艺操作进行。

①准备酒:将要澄清处理的葡萄酒,除去悬浮杂质,搅匀待用。有发酵现象或污染了乳酸菌等有害微生物的酒不能下胶。如原酒中含有残糖,应加适量二氧化硫(5~10g/100L)防止发酵。

②下胶试验:下胶前应先测定葡萄酒中单宁含量,以确定下胶用量。或通过小样试验来确定单宁和明胶的用量。方法是取40支试管,编好号码,各放10ml准备下胶的葡萄酒,按表3-9-2分别加入不同数量的1%单宁和1%明胶。先按顺序加单宁猛力摇动后,再加入明胶,强烈振荡后静置6~12h后,取透明度最好,明胶用量最少的试样作为最佳方案,来确定生产下胶用量。

表3-9-2 下胶试验方案表

③下胶与分离:根据上述试验数据,准确、缓慢、均匀地加入单宁后再加明胶,及时充分搅匀。下胶经2~3周后,将清酒抽出(并进行过滤),迅速与酒脚分离。

(2)影响下胶效果的因素

①澄清剂用量(参考表3-9-3)是否准确,下胶操作是否得当,澄清剂在酒液中是否均匀分布,直接影响澄清效果。

表3-9-3 澄清剂参考用量表

②酒中单宁含量过低,影响下胶效果。一般单宁和明胶的最大比例为7:8(一般讲沉淀1g明胶需要0.8g单宁)。

③酒中存在保护胶体,有些白葡萄酒含有多缩己糖,不易下胶澄清。新酒中含有大量粘液,起保护胶体作用,故不宜下胶。

④下胶只有在无机物、钙、镁、钾和铁盐存在下,效果好。葡萄酒酸度高,不含三价铁盐,不利下胶。有人认为在下胶前强烈通风,使酒中Fe2+转化为Fe3+,可提高下胶效果。

⑤蛋白质过多,难以澄清的葡萄酒,下胶前可加硅藻土或皂土,能提高澄清效果。

⑥如酒中含有酵母、蛋白质或污染了有害微生物,以及因铜等金属引起浑浊时,可用皂土下胶(用量50~100g/100L)。

⑦下胶温度过高或过低,影响下胶效果。温度愈低,愈促进絮状体形成,加速澄清。温度高(25℃以上),澄清剂的凝聚性能降低。下胶后可能呈溶解状态留在酒中,当温度变化时,或大气压低时,会将酒中沉淀物搅拌,重新出现浑浊。

⑧季节对下胶影响。一般在冬末春初,天气晴朗,大气压高,不刮风,室温8~20℃的气候条件下下胶效果好。

⑨澄清白葡萄酒时应用无色食用明胶,黄色或淡棕色明胶可用于红葡萄酒,棕色明胶由于不纯,不宜使用。

(3)过量下胶及解决措施

①过量下胶的危害:下胶时如明胶用量过多,与单宁用量不相适应,酒液澄清不好。有时即使酒完全透明,但酒中仍同时存在单宁和蛋白质,与空气接触,装瓶后由于温度变化会发生浑浊沉淀,使酒味不新鲜,有粘腻感觉和不愉快的胶味。因此过量下胶是极危险的。

②下胶过量的检查方法:在白葡萄酒中加入单宁(0.5g/L), 24h后,根据出现雾状的程度,可以判断过量多少。

③处理措施:一是通过试验,添加适量单宁,将酒中过量的胶沉淀除去。二是加皂土,这种胶质粘土,由于吸咐作用,能除去过剩的明胶(用量40~50g/100L)。

(4)下胶效果检查 经下胶澄清的酒,在-7℃经7天检查不浑,葡萄酒主要成分变化很少,说明已达到下胶澄清目的。

三、离心澄清

1.目的

葡萄酒中悬浮杂质,靠自然沉降与酒液分离所需的时间较长,而酒通过离心机产生的离心力场比重力场大很多倍,且与旋转速度的平方成正比,因此离心加速了酒中杂质和微生物细胞的沉降过程,在几分钟内沉降下来,使葡萄酒迅速澄清。

2.离心机类型(见第三篇第四章)

(1)鼓式 离心转鼓是敞口的,每次操作时需要人工清除沉渣。

(2)自动出渣式 出渣是自动间歇进行,且可根据酒的澄清度或酒泥累积量多少来调节出渣时间和次数。该机可连续操作,工作效率高。

(3)全封闭离心机 一般用于处理起泡葡萄酒。

3.注意事项

(1)在连续离心澄清葡萄酒时,要让它经过短时间的沉降,以除去大粒杂质,防止擦伤设备。

(2)处理酒脚时,要先倾去清酒,保证分离效果。

(3)离心机转速较高,一般为4000~5000r/min,现代新型离心机为10000r/min,在使用时应该注意安全。

随便看

 

离鸟网收录3541549条中英文词条,其功能与新华字典、现代汉语词典、牛津高阶英汉词典等各类中英文词典类似,基本涵盖了全部常用中英文字词句的读音、释义及用法,是语言学习和写作的有利工具。

 

Copyright © 2004-2024 vtrois.com All Rights Reserved
更新时间:2026/4/7 23:12:24